用 C++ 語言在二叉樹垂直順序遍歷中查詢第 k 個節點
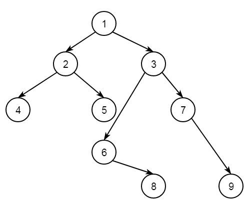
假設我們有一棵二叉樹和一個值 K。任務是在垂直順序遍歷中列印第 K 個節點。如果不存在該節點,則返回 -1。因此,如果樹如下所示:-

垂直順序遍歷如下:-
4 2 1 5 6 3 8 7 9
因此,如果 K = 3,則結果將為 1。
方法很簡單。我們將執行垂直順序遍歷,然後檢查當前節點是否是第 k 個節點,如果是,則返回。
示例
#include<iostream>
#include<map>
#include<vector>
#include<queue>
using namespace std;
class Node {
public:
int key;
Node *left, *right;
};
Node* getNode(int key){
Node* node = new Node;
node->key = key;
node->left = node->right = NULL;
return node;
}
int findKthNodeVertical(Node* root, int k) {
if (!root || k == 0)
return -1;
int n = 0;
int k_node = -1;
map<int, vector<int> > current_map;
int hd = 0;
queue<pair<Node*, int> > que;
que.push(make_pair(root, hd));
while (!que.empty()) {
pair<Node*, int> temp = que.front();
que.pop();
hd = temp.second;
Node* node = temp.first;
current_map[hd].push_back(node->key);
if (node->left != NULL)
que.push(make_pair(node->left, hd - 1));
if (node->right != NULL)
que.push(make_pair(node->right, hd + 1));
}
map<int, vector<int> >::iterator it;
for (it = current_map.begin(); it != current_map.end(); it++) {
for (int i = 0; i < it->second.size(); ++i) {
n++;
if (n == k)
return (it->second[i]);
}
}
if (k_node == -1)
return -1;
}
int main() {
Node* root = getNode(1);
root->left = getNode(2);
root->right = getNode(3);
root->left->left = getNode(4);
root->left->right = getNode(5);
root->right->left = getNode(6);
root->right->right = getNode(7);
root->right->left->right = getNode(8);
root->right->right->right = getNode(9);
int k = 3;
cout << "Kth node in vertical traversal: " << findKthNodeVertical(root, k);
}輸出
Kth node in vertical traversal: 1
廣告
資料結構
網路
關係型資料庫管理系統
作業系統
Java
iOS
HTML
CSS
Android
Python
C 語言程式設計
C++
C#
MongoDB
MySQL
Javascript
PHP