C++ 中執行二叉樹的層次遍歷的程式
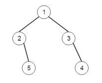
假設我們有一棵二叉樹。我們必須使用層次遍歷方式遍歷這棵樹。因此,如果這棵樹類似於

則遍歷序列將類似於:[1,2,3,5,4]
為了解決這個問題,我們將按照以下步驟操作 −
定義佇列 que 來儲存節點
將根節點插入到 que 中。
當 que 不為空時,執行以下操作
item := 存在於佇列前面的專案
列印 item 的值
如果 item 的左節點不為 null,則將 item 的左節點插入到 que 中
如果 item 的右節點不為 null,則將 item 的右節點插入到 que 中
從 que 中刪除前面的元素
讓我們看以下實現,以便更好地理解 −
範例
#include <bits/stdc++.h>
using namespace std;
void print_vector(vector<int> v){
cout << "[";
for(int i = 0; i<v.size(); i++){
cout << v[i] << ", ";
}
cout << "]"<<endl;
}
class TreeNode{
public:
int val;
TreeNode *left, *right;
TreeNode(int data){
val = data;
left = right = NULL;
}
};
class Solution {
public:
vector<int> solve(TreeNode* root) {
if(!root)
return {};
vector <int> ret;
queue <TreeNode*> q;
q.push(root);
while(!q.empty()){
TreeNode* node = q.front();
q.pop();
ret.push_back(node->val);
if(node->left){
q.push(node->left);
}
if(node->right){
q.push(node->right);
}
}
return ret;
}
};
main(){
TreeNode *root = new TreeNode(1);
root->left = new TreeNode(2);
root->right = new TreeNode(3);
root->left->right = new TreeNode(5);
root->right->right = new TreeNode(4);
Solution ob;
print_vector(ob.solve(root));
}
輸入
TreeNode *root = new TreeNode(1); root->left = new TreeNode(2); root->right = new TreeNode(3); root->left->right = new TreeNode(5); root->right->right = new TreeNode(4);
輸出
[1, 2, 3, 5, 4, ]
廣告
資料結構
網路
RDBMS
作業系統
Java
iOS
HTML
CSS
Android
Python
C 程式設計
C++
C#
MongoDB
MySQL
Javascript
PHP