設計一個NFA,其中Σ = {0, 1},並接受所有長度至少為2的字串。
非確定有限自動機也具有五個狀態,與DFA相同,但具有不同的轉移函式,如下所示:
δ: Q X Σ -> 2Q
非確定有限自動機定義為一個五元組,
M=(Q, Σ, δ,q0,F)
其中,
- Q: 有限狀態集
- Σ: 有限的輸入符號集
- q0: 初始狀態
- F: 終結狀態
- δ: 轉移函式: Q X Σ -> 2Q
問題
為給定語言設計一個狀態轉換圖和狀態轉換表,該語言接受所有長度至少為2的字串。
解決方案
在繼續解決方案之前,讓我們瞭解一下字串長度的含義以及如何查詢任何字串的長度。
**字串長度**表示字串或單詞中符號的數量。它用|w|表示。
例如:w=01011001 來自二進位制字母表Σ={0,1}
|w| = 8
在給定的問題中,字串的長度至少應為2。也就是說,長度應為2或更大,但不能小於2,且字母表為Σ = {0, 1}。
語言L= { 00,01,10,11,001,110,101,111,000,1101,0010,…….}
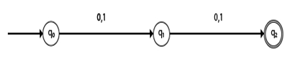
狀態轉換圖
給定語言的NFA狀態轉換圖如下:

狀態轉換表
狀態轉換表如下:
| 當前狀態 | 輸入0時的下一狀態 | 輸入1時的下一狀態 |
|---|---|---|
| ->q0 | q1 | q1 |
| q1 | q2 | q2 |
| *q2 | ε | ε |
解釋
- **步驟1** - q0是初始狀態,輸入'0'時它轉到狀態q1,輸入'1'時轉到狀態q1。
- **步驟2** - q1是中間狀態,輸入'0'和'1'時都轉到狀態q2。
- **步驟3** - q2是終結狀態,它包含ε轉移。
示例2
構造一個NFA,其中Σ = {0, 1},它接受所有以01結尾的字串。
在給定的問題中,語言接受所有以01結尾的字串。
語言L= { 01,101,1101,001,11001,0101,11101,0001,1001,00101,…….}
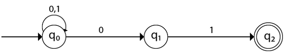
狀態轉換圖
狀態轉換圖如下:

狀態轉換表
狀態轉換表如下:
| 當前狀態 | 輸入0時的下一狀態 | 輸入1時的下一狀態 |
|---|---|---|
| ->q0 | q0,q1 | q0 |
| q1 | - | q2 |
| *q2 | - | - |
解釋
- **步驟1** - q0是初始狀態,輸入'0'時它轉到多個狀態q0和q1,輸入'1'時它轉到狀態q0本身。
- **步驟2** - q1是中間狀態,輸入'1'時轉到狀態q2。
- **步驟3** - q2是終結狀態,它包含ε轉移。
廣告
資料結構
網路
關係型資料庫管理系統
作業系統
Java
iOS
HTML
CSS
Android
Python
C語言程式設計
C++
C#
MongoDB
MySQL
Javascript
PHP