資料結構中的二叉樹遍歷
在本章節,我們將看到不同的遍歷演算法,以遍歷二叉查詢樹中存在的鍵。這些遍歷是中序遍歷、前序遍歷、後序遍歷和層次遍歷。
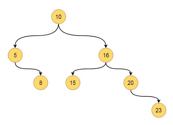
假設我們有這樣一棵樹 −

中序遍歷序列將如下 − 5 8 10 15 16 20 23
前序遍歷序列將如下 − 10 5 8 16 15 20 23
後序遍歷序列將如下 − 8 5 15 23 20 16 10
層次遍歷序列將如下 − 10, 5, 16, 8, 15, 20, 23
演算法
inorderTraverse(root): Begin if root is not empty, then inorderTraversal(left of root) print the value of root inorderTraversal(right of root) end if End preorderTraverse(root): Begin if root is not empty, then print the value of root preorderTraversal(left of root) preorderTraversal(right of root) end if End postorderTraverse(root): Begin if root is not empty, then postorderTraversal(left of root) postorderTraversal(right of root) print the value of root end if End levelOrderTraverse(root): Begin define queue que to store nodes insert root into the que. while que is not empty, do item := item present at front position of queue print the value of item if left of the item is not null, then insert left of item into que end if if right of the item is not null, then insert right of item into que end if delete front element from que done End
示例
#include<iostream>
#include<queue>
using namespace std;
class node{
public:
int h_left, h_right, bf, value;
node *left, *right;
};
class tree{
private:
node *get_node(int key);
public:
node *root;
tree(){
root = NULL; //set root as NULL at the beginning
}
void inorder_traversal(node *r);
void preorder_traversal(node *r);
void postorder_traversal(node *r);
void levelorder_traversal(node *r);
node *insert_node(node *root, int key);
};
node *tree::get_node(int key){
node *new_node;
new_node = new node; //create a new node dynamically
new_node->h_left = 0; new_node->h_right = 0;
new_node->bf = 0;
new_node->value = key; //store the value from given key
new_node->left = NULL; new_node->right = NULL;
return new_node;
}
void tree::inorder_traversal(node *r){
if(r != NULL){ //When root is present, visit left - root - right
inorder_traversal(r->left);
cout << r->value << " ";
inorder_traversal(r->right);
}
}
void tree::preorder_traversal(node *r){
if(r != NULL){ //When root is present, visit left - root - right
cout << r->value << " ";
preorder_traversal(r->left);
preorder_traversal(r->right);
}
}
void tree::postorder_traversal(node *r){
if(r != NULL){ //When root is present, visit left - root - right
postorder_traversal(r->left);
postorder_traversal(r->right);
cout << r->value << " ";
}
}
void tree::levelorder_traversal(node *root){
queue <node*> que;
node *item;
que.push(root); //insert the root at first
while(!que.empty()){
item = que.front(); //get the element from the front end
cout << item->value << " ";
if(item->left != NULL) //When left child is present, insert into queue
que.push(item->left);
if(item->right != NULL) //When right child is present, insert into queue
que.push(item->right);
que.pop(); //remove the item from queue
}
}
node *tree::insert_node(node *root, int key){
if(root == NULL){
return (get_node(key)); //when tree is empty, create a node as root
}
if(key < root->value){ //when key is smaller than root value, go to the left
root->left = insert_node(root->left, key);
}else if(key > root->value){ //when key is greater than root value, go to the right
root->right = insert_node(root->right, key);
}
return root; //when key is already present, do not insert it again
}
main(){
node *root;
tree my_tree;
//Insert some keys into the tree.
my_tree.root = my_tree.insert_node(my_tree.root, 10);
my_tree.root = my_tree.insert_node(my_tree.root, 5);
my_tree.root = my_tree.insert_node(my_tree.root, 16);
my_tree.root = my_tree.insert_node(my_tree.root, 20);
my_tree.root = my_tree.insert_node(my_tree.root, 15);
my_tree.root = my_tree.insert_node(my_tree.root, 8);
my_tree.root = my_tree.insert_node(my_tree.root, 23);
cout << "In-Order Traversal: ";
my_tree.inorder_traversal(my_tree.root);
cout << "
Pre-Order Traversal: ";
my_tree.preorder_traversal(my_tree.root);
cout << "
Post-Order Traversal: ";
my_tree.postorder_traversal(my_tree.root);
cout << "
Level-Order Traversal: ";
my_tree.levelorder_traversal(my_tree.root);
}輸出
In-Order Traversal: 5 8 10 15 16 20 23 Pre-Order Traversal: 10 5 8 16 15 20 23 Post-Order Traversal: 8 5 15 23 20 16 10 Level-Order Traversal: 10 5 16 8 15 20 23
廣告
資料結構
網路
RDBMS
作業系統
Java
iOS
HTML
CSS
Android
Python
C 程式設計
C++
C#
MongoDB
MySQL
Javascript
PHP