資料結構中的二叉樹表示
我們將瞭解如何在計算機記憶體中表示二叉樹。有兩種不同的表示方法:使用陣列和使用連結串列。
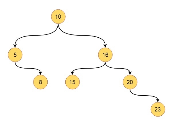
假設我們有一棵這樣的樹:

陣列表示法透過使用層序遍歷掃描元素來儲存樹資料。因此它逐層儲存節點。如果某些元素缺失,則為其保留空白空間。上述樹的表示如下:
| 1 | 2 | 3 | 4 | 5 | 6 | 7 | 8 | 9 | 10 | 11 | 12 | 13 | 14 | 15 |
| 10 | 5 | 16 | - | 8 | 15 | 20 | - | - | - | - | - | - | - | 23 |
索引1儲存根節點,它有兩個子節點5和16,它們分別位於位置2和3。一些子節點缺失,因此它們的位置留空。
在此表示中,我們可以使用以下公式輕鬆獲得一個節點的兩個子節點的位置:
$$child_{1}=2*parent$$
$$child_{2}=\lgroup2*parent\rgroup+1$$
要從子節點獲取父節點索引,我們必須遵循以下公式:
$$parent=\begin{bmatrix}\frac{child}{2} \end{bmatrix}$$
這種方法很好,我們可以很容易地找到父節點和子節點的索引,但它不是記憶體高效的。它將佔用許多無用的空間。這種表示對於完全二叉樹或滿二叉樹是合適的。
另一種方法是使用連結串列。我們為每個元素建立一個節點。這將如下所示:

廣告
資料結構
網路
關係資料庫管理系統 (RDBMS)
作業系統
Java
iOS
HTML
CSS
Android
Python
C語言程式設計
C++
C#
MongoDB
MySQL
Javascript
PHP