攤銷分析\n
攤銷分析
在偶爾出現的操作非常慢,而大多數執行非常頻繁的操作更快的情況下,使用此分析。我們需要攤銷分析的資料結構為雜湊表、分離集合等。
在雜湊表中,搜尋時間複雜度大多數時候為 O(1),但有時它會執行 O(n) 操作。當我們想在雜湊表中搜索或插入一個元素時,大多數情況下,它會用常量時間執行任務,但當發生衝突時,它需要 O(n) 次操作來解決衝突。
聚合方法
聚合方法用於查詢總成本。如果我們要新增一組資料,那麼我們需要使用此公式找出攤銷成本。
對於 n 個操作的序列,成本為−

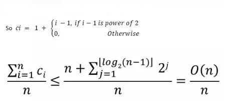
攤銷分析示例
對於一個動態陣列,可以在給定的下標中以 O(1) 時間插入項。但如果該下標不在陣列中,它就無法在常量時間內執行任務。對於這種情況,它最初將陣列大小加倍,然後在存在下標時插入該元素。

對於動態陣列,讓 c_i = 第 _i_ 次插入的成本。

廣告
資料結構
網路
RDBMS
作業系統
Java
iOS
HTML
CSS
Android
Python
C 程式設計
C++
C#
MongoDB
MySQL
Javascript
PHP