有根樹和二叉樹
有根樹
有根樹G是一個連通的無環圖,它有一個特殊的節點稱為樹的根,並且每條邊都直接或間接地起源於根。有序有根樹是有根樹,其中每個內部頂點的子節點是有序的。如果一個有根樹的每個內部頂點最多有m個子節點,則稱之為m叉樹。如果一個有根樹的每個內部頂點恰好有m個子節點,則稱之為完全m叉樹。如果m = 2,則有根樹稱為二叉樹。

二叉搜尋樹
二叉搜尋樹是一種滿足以下性質的二叉樹:
- 頂點V的左子樹中的X,Value(X) ≤ Value(V)
- 頂點V的右子樹中的Y,Value(Y) ≥ Value(V)
因此,內部節點V的左子樹的所有頂點的值都小於或等於V,內部節點V的右子樹的所有頂點的值都大於或等於V。從根節點到最深節點的連結數是二叉搜尋樹的高度。
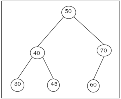
示例

在BST中搜索鍵的演算法
BST_Search(x, k) if ( x = NIL or k = Value[x] ) return x; if ( k < Value[x]) return BST_Search (left[x], k); else return BST_Search (right[x], k)
二叉搜尋樹的複雜度
| 平均情況 | 最壞情況 | |
|---|---|---|
| 空間複雜度 | O(n) | O(n) |
| 搜尋複雜度 | O(log n) | O(n) |
| 插入複雜度 | O(log n) | O(n) |
| 刪除複雜度 | O(log n) | O(n) |
廣告
資料結構
網路
關係資料庫管理系統 (RDBMS)
作業系統
Java
iOS
HTML
CSS
Android
Python
C語言程式設計
C++
C#
MongoDB
MySQL
Javascript
PHP