C++ 中修剪給定二叉樹的程式
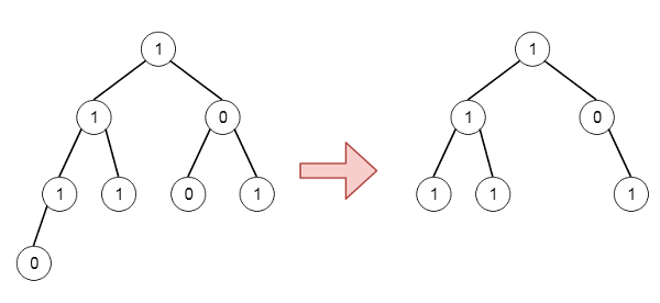
假設我們有一棵二叉樹,其中每個節點的值要麼是 0,要麼是 1。我們必須找到同一棵樹,其中不包含 1 的每個子樹都被刪除。因此,如果樹如下:

為解決這個問題,我們將按照以下步驟操作:
定義一個遞迴方法 solve(),它將採用節點。此方法如下:
如果節點為 null,則返回 null
節點左側:= solve(節點左側)
節點右側:=solve(節點右側)
如果節點左側為 null 且節點右側也為 null,並且節點值為 0,則返回 null
返回節點
讓我們看看以下實現以獲得更好的理解:
示例
#include <bits/stdc++.h>
using namespace std;
class TreeNode{
public:
int val;
TreeNode *left, *right;
TreeNode(int data){
val = data;
left = NULL;
right = NULL;
}
};
void inorder(TreeNode *root){
if(root){
inorder(root->left);
cout << root->val << ", ";
inorder(root->right);
}
}
class Solution {
public:
TreeNode* pruneTree(TreeNode* node) {
if(!node)return NULL;
node->left = pruneTree(node->left);
node->right = pruneTree(node->right);
if(!node->left && !node->right && !node->val){
return NULL;
}
return node;
}
};
main(){
TreeNode *root = new TreeNode(1);
root->left = new TreeNode(1);
root->right = new TreeNode(0);
root->left->left = new TreeNode(1);
root->left->right = new TreeNode(1);
root->right->left = new TreeNode(0);
root->right->right = new TreeNode(1);
root->left->left->left = new TreeNode(0);
Solution ob;
inorder(ob.pruneTree(root));
}輸入
TreeNode *root = new TreeNode(1); root−>left = new TreeNode(1); root−>right = new TreeNode(0); root−>left−>left = new TreeNode(1); root−>left−>right = new TreeNode(1); root−>right−>left = new TreeNode(0); root−>right−>right = new TreeNode(1); root−>left−>left−>left = new TreeNode(0);
輸出
1, 1, 1, 1, 0, 1,
廣告
資料結構
網路
RDBMS
作業系統
Java
iOS
HTML
CSS
Android
Python
C 程式設計
C++
C#
MongoDB
MySQL
Javascript
PHP