Python程式檢查給定圖是否是一組樹
假設我們有一個圖,用邊列表表示。我們必須檢查該圖是否是一組樹(森林)。
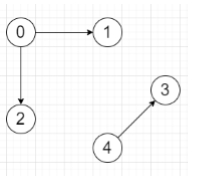
因此,如果輸入類似於
則輸出將為 True
為了解決這個問題,我們將遵循以下步驟:
定義一個函式 dfs()。這將獲取節點和前一個節點。
如果節點在 seen 中,則
返回 False
將節點插入 seen 中
對於 e[node] 中的每個相鄰節點 n,執行以下操作:
如果 n 與前一個節點不同,則
如果 dfs(n, node) 為假,則
返回 False
返回 True
從主方法中,執行以下操作:
e := 一個空對映
對於邊中的每個起始節點 u 和結束節點 v,執行以下操作:
將 v 插入 e[u] 的末尾
將 u 插入 e[v] 的末尾
seen := 一個新的集合
對於 e 中的每個節點,執行以下操作:
如果節點不在 seen 中且 dfs(node, -1) 為假,則
返回 False
返回 True
讓我們看看以下實現以獲得更好的理解:
示例
from collections import defaultdict class Solution: def solve(self, edges): e = defaultdict(list) for t,f in edges: e[t].append(f) e[f].append(t) seen = set() def dfs(node, prev): if node in seen: return False seen.add(node) for adj in e[node]: if adj != prev: if not dfs(adj, node): return False return True for node in e: if node not in seen and not dfs(node, -1): return False return True ob = Solution() edges = [[0, 1],[0, 2],[4, 3]] print(ob.solve(edges))
輸入
[[0, 1],[0, 2],[4, 3]]
輸出
True
廣告
資料結構
網路
關係資料庫管理系統
作業系統
Java
iOS
HTML
CSS
Android
Python
C語言程式設計
C++
C#
MongoDB
MySQL
Javascript
PHP