Python程式檢查給定圖是否為二分圖
假設我們有一個無向圖,我們需要檢查該圖是否為二分圖。眾所周知,當我們可以將圖的節點分成兩個集合 A 和 B,並且圖中的每條邊 {u,v} 都有一個節點 u 在 A 中,另一個節點 v 在 B 中時,該圖就是二分圖。
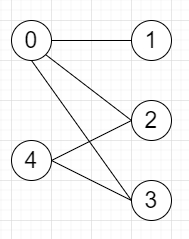
所以,如果輸入是這樣的

那麼輸出將是 True,[0,4] 在集合 A 中,[1,2,3] 在集合 B 中,並且所有邊都從 A 到 B 或 B 到 A,而不是 A 到 A 或 B 到 B。
為了解決這個問題,我們將遵循以下步驟:
定義一個函式 dfs()。這將獲取源節點
對於graph[source]中的每個頂點,執行以下操作:
如果color[vertex]不等於 -1,則
如果color[vertex]與color[source]相同,則
result[0] := False
返回
繼續下一個迭代
color[vertex] := 1 - color[source]
dfs(vertex)
從主方法中,執行以下操作:
n := arr的大小
graph := 頂點 0 到 n-1 的空鄰接表
對於範圍 0 到 n 中的 i,執行以下操作:
對於arr[i]中的每個 j,執行以下操作:
將 i 插入到 graph[j] 中
將 j 插入到 graph[i] 中
color := 一個大小為 n 的列表,並填充為 -1
result := 一個包含一個 True 值的列表
對於範圍 0 到 n 中的 i,執行以下操作:
如果color[i]與 -1 相同,則
dfs(i)
返回result[0]
讓我們看看以下實現以獲得更好的理解:
示例
from collections import defaultdict class Solution: def solve(self, arr): n = len(arr) graph = [set() for i in range(n)] for i in range(n): for j in arr[i]: graph[j].add(i) graph[i].add(j) color = [-1] * n result = [True] def dfs(source): for child in graph[source]: if color[child] != -1: if color[child] == color[source]: result[0] = False return continue color[child] = 1 - color[source] dfs(child) for i in range(n): if color[i] == -1: dfs(i) return result[0] ob = Solution() graph = [[1,2,3],[0],[0,4],[0,4],[2,3]] print(ob.solve(graph))
輸入
graph = [[1,2,3],[0],[0,4],[0,4],[2,3]]
輸出
True
廣告
資料結構
網路
關係型資料庫管理系統
作業系統
Java
iOS
HTML
CSS
Android
Python
C語言程式設計
C++
C#
MongoDB
MySQL
Javascript
PHP