Home
Library
Online Compilers
Jobs
Whiteboard
Tools
Articles
Write & Earn
Courses
Certifications
Menu
Categories
Login
Switch theme
Category
Java
JSP
iOS
HTML
Android
Python
C Programming
C++ Programming
C#
PHP
CSS
Javascript
jQuery
SAP
SAP HANA
Data Structure
RDBMS
MySQL
Mathematics
8085 Microprocessor
Operating System
Digital Electronics
Analysis of Algorithms
Mobile Development
Front End
Web Development
Selenium
MongoDB
Computer Network
General Topics
Library
Courses
Certifications
Login
Menu
Show search
SQL
HTML
CSS
Javascript
Python
Java
C
C++
PHP
Scala
C#
Tailwind CSS
Node.js
MySQL
MongoDB
PL/SQL
Swift
Bootstrap
R
Machine Learning
Blockchain
Angular
React Native
Computer Fundamentals
Compiler Design
Operating System
Data Structure and Algorithms
Computer Network
DBMS
Excel
熱門類別
資料結構
網路
關係型資料庫管理系統
作業系統
Java
MS Excel
iOS
HTML
CSS
Android
Python
C 程式設計
C++
C#
MongoDB
MySQL
Javascript
PHP
物理學
化學
生物學
數學
英語
經濟學
心理學
社會學
時尚研究
法律研究
相關閱讀
公務員考試筆記
開發者的最佳實踐
常見問題解答
如何撰寫一份出色的簡歷
人力資源面試問題
計算機術語表
名人錄
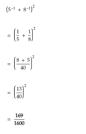
化簡以下表達式
(i)(5
-1
+ 8
-1
)
2
學術
數學
國家教育研究與培訓委員會
8 年級
Tutorialspoint
更新日期:
2022 年 10 月 10 日
30 次閱讀
相關文章
化簡下列各式:$(-\frac{1}{3})^{4} \div(-\frac{1}{3})^{8} \times(-\frac{1}{3})^{5}$。
解下列方程:$8\frac{1}{2} - 3\frac{5}{8}$
化簡以下表達式:\( \frac{6(8)^{n+1}+16(2)^{3 n-2}}{10(2)^{3 n+1}-7(8)^{n}} \)
去除括號並儘可能簡化。1. $8 + (a-2)$ 2. $5+ (a-2)$
化簡以下表達式 $ \frac{1}{5}+\left(\frac{2}{5}+\frac{3}{5}\right) $
化簡以下表達式:\( 8 \frac{3}{5}-\left(6 \frac{1}{2}-4 \frac{1}{4}-3 \frac{3}{4}\right) \)
求下列和:\( 1+(-2)+(-5)+(-8)+\ldots+(-236) \)
化簡:\( \left(16^{-1 / 5}\right)^{5 / 2} \)
減去下列分式:(i) $\frac{2}{5} - \frac{1}{5}$; (ii) $\frac{2}{3} - \frac{1}{2}$
化簡以下表達式:\( \frac{5 \times 25^{n+1}-25 \times 5^{2 n}}{5 \times 5^{2 n+3}-(25)^{n+1}} \)
化簡以下表達式:$\frac{1}{8} \times 3^{-3}$。
化簡:(i) \( 2^{\frac{2}{3}} \cdot 2^{\frac{1}{5}} \)(ii) \( \left(\frac{1}{3^{3}}\right)^{7} \)(iii) \( \frac{11^{\frac{1}{2}}}{11^{\frac{1}{4}}} \)(iv) \( 7^{\frac{1}{2}} \cdot 8^{\frac{1}{2}} \)
求解:$\frac{4 x-5}{8 x - 1}$=$ \frac{x+2}{2 x+1}$
求值: - $( 8^{0}+5^{-1}) \times[\frac{1}{5}]^{-2})$.
化簡(i)+7 + 1 - 3 + 4 -2 - 5 + 7 - 2 + 1 -6 + 5(ii)+2 - 3 + 2 -5 + 1 - 3 + 8 - 4 + 3
開啟你的
職業
完成課程獲得認證
開始
列印頁面
上一頁
下一頁
廣告
©
. All rights reserved.