$(i)$ 找出下列表達式的項及其因子
用樹狀圖表示項和因子。
$(a)$ $x-3$
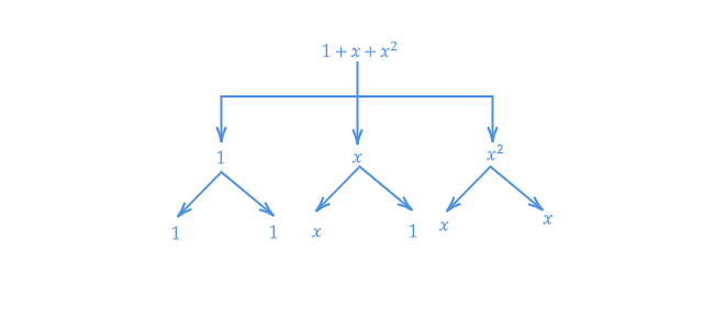
$(b)$ $1+x+x^2$
$(c)$ $y-y^3$
$(d)$ $5xy^2+7x^2y^7$
$(e)$ $– ab +2b^2-3a^2$
$(ii)$ 找出下列表達式的項和因子
$(a)$ $-4x+5$
$(b)$ $-4x+5y$
$(c)$ $5y +3y^2$
$(d)$ $xy+2x^2y^2$
$(e)$ $pq+q$
$(f)$ $1.2 ab-2.4 b+3.6 a$
$(g)$ $\frac{3}{4}x+\frac{1}{4} $
$(h)$ $0.1p^2+0.2q^2$
已知:$(i)$ $(a)$ $x-3$ $(b)$ $1+x+x^2$ $(c)$ $y-y^3$
$(d)$ $5xy^2+7x^2y$ $(e)$ $– ab +2b^2-3a^2$
$(ii)$ $(a)$ $-4x+5$ $(b)$ $-4x+5y$ $(c)$ $5y +3y^2$
$(d)$ $xy+2x^2y^2$ $(e)$ $pq+q$ $(f)$ $1.2 ab-2.4 b+3.6 a$
$(g)$ $\frac{3}{4}x+\frac{1}{4}$ $(h)$ $0.1p^2+0.2q^2$
要求:$(i)$ 找出下列表達式的項及其因子。用樹狀圖表示項和因子。
$(ii)$ 找出下列表達式的項和因子。
解答
$(i)$
$(a).\ x-3$
項 $=x,\ -3$,因子 $=x;\ -3$
$(b).\ 1+x+x^2$
項 $= 1,\ x,\ x^2$,因子 $= 1,\ x,\ (x,\ x)$
$(c).\ y -y^3$
項 $= y,\ -y^3$,因子 $= y,\ (-1,\ y,\ y,\ y)$
$(d).\ 5xy^2+7x^2y$
項 $= 5xy^2,\ 7x^2y$,因子 $= (5,\ x,\ y,\ y),\ (7,\ x,\ x,\ y)$
$(e).\ -ab+2b^2 -3a^2$
項 $= -ab,\ 2b^2,\ -3a^2$,因子 $= (-a,\ b),\ (2,\ b,\ b),\ (-1,\ 3,\ a,\ a)$
$(ii)$
序號 | 表示式 | 項 | 因子 |
$(a)$ | $-4x+5$
| $-4x,\ 5$ | $-4,\ x,\ 5$ |
$(b)$
| $-4x+5y$
| $-4x,\ 5y$ | $-4,\ x,\ 5,\ y$ |
$(c)$
| $5y +3y^2$
| $5y,\ 3y^2$ | $5,\ y,\ 3,\ y,\ y$ |
$(d)$
| $xy+2x^2y^2$
| $xy,\ 2x^2y^2$ | $x,\ y,\ 2,\ x,\ x,\ y,\ y$ |
$(e)$
| $pq+q$
| $pq,\ q$ | $p,\ q,\ q$ |
$(f)$
| $1.2 ab-2.4 b+3.6 a$
| $1.2ab,\ -2.4b,\ 3.6a$ | $1.2,\ a,\ b,\ -2.4,\ b,\ 3.6,\ a$ |
$(g)$
| $\frac{3}{4}x+\frac{1}{4} $
| $\frac{3}{4}x,\ \frac{1}{4}$ | $\frac{3}{4},\ x,\ \frac{1}{4}$ |
$(h)$
| $0.1p^2+0.2q^2$
| $0.1p^2,\ 0.2q^2$ | $0.1,\ p,\ p,\ 0.2,\ q,\ q$ |
- 相關文章
- 簡化:(i)$2x^2 (x^3 - x) - 3x (x^4 + 2x) -2(x^4 - 3x^2)$(ii)$x^3y (x^2 - 2x) + 2xy (x^3 - x^4)$(iii)$3a^2 + 2 (a + 2) - 3a (2a + 1)$(iv)$x (x + 4) + 3x (2x^2 - 1) + 4x^2 + 4$(v)$a (b-c) - b (c - a) - c (a - b)$(vi)$a (b - c) + b (c - a) + c (a - b)$(vii)$4ab (a - b) - 6a^2 (b - b^2) -3b^2 (2a^2 - a) + 2ab (b-a)$(viii)$x^2 (x^2 + 1) - x^3 (x + 1) - x (x^3 - x)$(ix)$2a^2 + 3a (1 - 2a^3) + a (a + 1)$(x)$a^2 (2a - 1) + 3a + a^3 - 8$(xi)$\frac{3}{2}-x^2 (x^2 - 1) + \frac{1}{4}-x^2 (x^2 + x) - \frac{3}{4}x (x^3 - 1)$(xii)$a^2b (a - b^2) + ab^2 (4ab - 2a^2) - a^3b (1 - 2b)$(xiii)$a^2b (a^3 - a + 1) - ab (a^4 - 2a^2 + 2a) - b (a^3- a^2 -1)$。
- 將下列代數表示式相加:(i)\( 3 a^{2} b,-4 a^{2} b, 9 a^{2} b \)(ii)\( \frac{2}{3} a, \frac{3}{5} a,-\frac{6}{5} a \)(iii)\( 4 x y^{2}-7 x^{2} y, 12 x^{2} y-6 x y^{2},-3 x^{2} y+5 x y^{2} \)(iv)\( \frac{3}{2} a-\frac{5}{4} b+\frac{2}{5} c, \frac{2}{3} a-\frac{7}{2} b+\frac{7}{2} c, \frac{5}{3} a+ \) \( \frac{5}{2} b-\frac{5}{4} c \)(v)\( \frac{11}{2} x y+\frac{12}{5} y+\frac{13}{7} x,-\frac{11}{2} y-\frac{12}{5} x-\frac{13}{7} x y \)(vi)\( \frac{7}{2} x^{3}-\frac{1}{2} x^{2}+\frac{5}{3}, \frac{3}{2} x^{3}+\frac{7}{4} x^{2}-x+\frac{1}{3} \) \( \frac{3}{2} x^{2}-\frac{5}{2} x-2 \)
- (i)\( x^{2}-3 x+5-\frac{1}{2}\left(3 x^{2}-5 x+7\right) \)(ii)\( [5-3 x+2 y-(2 x-y)]-(3 x-7 y+9) \)(iii)\( \frac{11}{2} x^{2} y-\frac{9}{4} x y^{2}+\frac{1}{4} x y-\frac{1}{14} y^{2} x+\frac{1}{15} y x^{2}+ \) \( \frac{1}{2} x y \)(iv)\( \left(\frac{1}{3} y^{2}-\frac{4}{7} y+11\right)-\left(\frac{1}{7} y-3+2 y^{2}\right)- \) \( \left(\frac{2}{7} y-\frac{2}{3} y^{2}+2\right) \)(v)\( -\frac{1}{2} a^{2} b^{2} c+\frac{1}{3} a b^{2} c-\frac{1}{4} a b c^{2}-\frac{1}{5} c b^{2} a^{2}+ \) \( \frac{1}{6} c b^{2} a+\frac{1}{7} c^{2} a b+\frac{1}{8} c a^{2} b \).
- 減法:(i)從 $12xy$ 中減去 $-5xy$(ii)從 $-7a^2$ 中減去 $2a^2$(iii)從 \( 3 a-5 b \) 中減去 \( 2 a-b \)(iv)從 \( 4 x^{3}+x^{2}+x+6 \) 中減去 \( 2 x^{3}-4 x^{2}+3 x+5 \)(v)從 \( \frac{1}{3} y^{3}+\frac{5}{7} y^{2}+y-2 \) 中減去 \( \frac{2}{3} y^{3}-\frac{2}{7} y^{2}-5 \)(vi)從 \( \frac{2}{3} x+\frac{3}{2} y-\frac{4}{3} z \) 中減去 \( \frac{3}{2} x-\frac{5}{4} y-\frac{7}{2} z \)(vii)從 \( \frac{2}{3} x^{2} y+\frac{3}{2} x y^{2}- \) \( \frac{1}{3} x y \) 中減去 \( x^{2} y-\frac{4}{5} x y^{2}+\frac{4}{3} x y \)(viii)從 \( \frac{3}{5} b c-\frac{4}{5} a c \) 中減去 \( \frac{a b}{7}-\frac{35}{3} b c+\frac{6}{5} a c \)
- $(a)$ 找出包含 $x$ 的項,並給出 $x$ 的係數。(i) $y^2x+y$ (ii) $13y^2-8yx$ (iii) $x+y+2$ (iv) $5+z+zx$ (v) $1+x+xy$ (iv) $12xy^2+25$ (viii) $7x+xy^2$ $(b)$ 找出包含 $y^2$ 的項,並給出 $y^2$ 的係數。(i) $8-xy^2$ (ii) $5y^2+7x$ (iii) $2x^2y-15xy^2+7y^2$
- 找出下列每個表示式的項及其係數。(i) $7x^2yz - 5xy$ (ii) $x^2 + x + 1$ (iii) $3x^2y^2 - 5x^2y^2z^2 + z^2 + 1$ (iv) $9- ab + be-ca$ (v) $\frac{a}{2}+\frac{b}{2}-ab$ (vi) $2x - 0.3xy + 0.5y$
- 減去:(i)從 \( \frac{x^{3}}{3}-\frac{5}{2} x^{2}+ \) \( \frac{3}{5} x+\frac{1}{4} \) 中減去 \( \frac{6}{5} x^{2}-\frac{4}{5} x^{3}+\frac{5}{6}+\frac{3}{2} x \)(ii)從 \( \frac{1}{3} a^{3}-\frac{3}{4} a^{2}- \) \( \frac{5}{2} \) 中減去 \( \frac{5 a^{2}}{2}+\frac{3 a^{3}}{2}+\frac{a}{3}-\frac{6}{5} \)(iii)從 \( \frac{7}{2}-\frac{x}{3}- \) \( \frac{x^{2}}{5} \) 中減去 \( \frac{7}{4} x^{3}+\frac{3}{5} x^{2}+\frac{1}{2} x+\frac{9}{2} \)(iv)從 \( \frac{1}{3}-\frac{5}{3} y^{2} \) 中減去 \( \frac{y^{3}}{3}+\frac{7}{3} y^{2}+\frac{1}{2} y+\frac{1}{2} \)(v)從 \( \frac{3}{2} a b-\frac{7}{4} a c- \) \( \frac{5}{6} b c \) 中減去 \( \frac{2}{3} a c-\frac{5}{7} a b+\frac{2}{3} b c \)
- 求下列二項式的乘積:(i)\( (2 x+y)(2 x+y) \)(ii)\( (a+2 b)(a-2 b) \)(iii)\( \left(a^{2}+b c\right)\left(a^{2}-b c\right) \)(iv)\( \left(\frac{4 x}{5}-\frac{3 y}{4}\right)\left(\frac{4 x}{5}+\frac{3 y}{4}\right) \)(v)\( \left(2 x+\frac{3}{y}\right)\left(2 x-\frac{3}{y}\right) \)(vi)\( \left(2 a^{3}+b^{3}\right)\left(2 a^{3}-b^{3}\right) \)(vii)\( \left(x^{4}+\frac{2}{x^{2}}\right)\left(x^{4}-\frac{2}{x^{2}}\right) \)(viii)\( \left(x^{3}+\frac{1}{x^{3}}\right)\left(x^{3}-\frac{1}{x^{3}}\right) \).
- 1. 因式分解表示式 \( 3 x y - 2 + 3 y - 2 x \) A) \( (x+1),(3 y-2) \) B) \( (x+1),(3 y+2) \) C) \( (x-1),(3 y-2) \) D) \( (x-1),(3 y+2) \) 2. 因式分解表示式 \( \mathrm{xy}-\mathrm{x}-\mathrm{y}+1 \) A) \( (x-1),(y+1) \) B) \( (x+1),(y-1) \) C) \( (x-1),(y-1) \) D) \( (x+1),(y+1) \)
- 求 $(x +y) \div (x - y)$ 的值,如果:(i)\( x=\frac{2}{3}, y=\frac{3}{2} \)(ii)\( x=\frac{2}{5}, y=\frac{1}{2} \)(iii)\( x=\frac{5}{4}, y=\frac{-1}{3} \)(iv)\( x=\frac{2}{7}, y=\frac{4}{3} \)(v)\( x=\frac{1}{4}, y=\frac{3}{2} \)
- 使用合適的恆等式展開下列每個表示式:(i)\( (x+2 y+4 z)^{2} \)(ii)\( (2 x-y+z)^{2} \)(iii)\( (-2 x+3 y+2 z)^{2} \)(iv)\( (3 a-7 b-c)^{2} \)(v)\( (-2 x+5 y-3 z)^{2} \)(vi)\( \left[\frac{1}{4} a-\frac{1}{2} b+1\right]^{2} \)
- 解下列方程:$(a).\ 2y+\frac{5}{2}=\frac{37}{2}$ $(b).\ 5t+28=10$ $(c).\ \frac{a}{5}+3=2$ $(d).\ \frac{q}{4}+7=5$ $(e).\ \frac{5}{2}x=-5$ $(f).\ \frac{5}{2}x=\frac{25}{4}$ $(g).\ 7m+\frac{19}{2}=13$ $(h).\ 6z+10=-2$ $(i).\ \frac{3l}{2}=\frac{2}{3}$ $(j).\ \frac{2b}{3}-5=3$
- 除法:(i)用 $2x$ 除 $x+2x^2+3x^4-x^5$(ii)用 $3y$ 除 $y^4-3y^3+\frac{1}{2y^2}$(iii)用 $2a$ 除 $-4a^3+4a^2+a$
- 合併同類項化簡:(i)$21b-32+7b-20b$(ii)$-z^2+13z^2-5z+7z^3-15z$(iii)$p-(p-q)-q-(q-p)$(iv)$3a-2b-ab-(a-b+ab)+3ab+b-a$(v)$5x^2y-5x^2+3yx^2-3y^2+x^2-y^2+8xy^2-3y^2$(vi)$(3y^2+5y-4)-(8y-y^2-4)$
- 將下列方程組化為線性方程組求解: (i) \( \frac{1}{2 x}+\frac{1}{3 y}=2 \)\( \frac{1}{3 x}+\frac{1}{2 y}=\frac{13}{6} \)(ii) \( \frac{2}{\sqrt{x}}+\frac{3}{\sqrt{y}}=2 \)\( \frac{4}{\sqrt{x}}-\frac{9}{\sqrt{y}}=-1 \)(iii) \( \frac{4}{x}+3 y=14 \)\( \frac{3}{x}-4 y=23 \)(iv) \( \frac{5}{x-1}+\frac{1}{y-2}=2 \)\( \frac{6}{x-1}-\frac{3}{y-2}=1 \)(v) \( \frac{7 x-2 y}{x y}=5 \)\( \frac{8 x+7 y}{x y}=15 \),b>(vi) \( 6 x+3 y=6 x y \)\( 2 x+4 y=5 x y \)4(vii) \( \frac{10}{x+y}+\frac{2}{x-y}=4 \)\( \frac{15}{x+y}-\frac{5}{x-y}=-2 \)(viii) \( \frac{1}{3 x+y}+\frac{1}{3 x-y}=\frac{3}{4} \)\( \frac{1}{2(3 x+y)}-\frac{1}{2(3 x-y)}=\frac{-1}{8} \).