Python實現尋找最深葉節點的最近公共祖先
假設我們有一個根二叉樹,我們需要返回其最深葉節點的最近公共祖先。需要注意的是:
二叉樹中的節點只有在沒有子節點時才是葉節點。
樹的根節點深度為0,當節點深度為d時,其每個子節點的深度為d+1。
節點集合S在節點A中的最近公共祖先是指深度最大的節點A,使得S中的每個節點都在以A為根的子樹中。
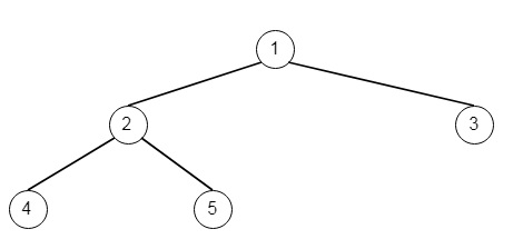
如果輸入是[1,2,3,4,5],

則輸出為[2,4,5]
為了解決這個問題,我們將遵循以下步驟:
定義一個名為solve()的方法,它將接收一個節點作為引數,其工作方式如下:
如果節點不存在,則返回一個列表[0, None]
如果節點的左子樹和右子樹為空,則返回一個列表[1, None]
d1, l := solve(節點的左子樹), d2, r := solve(節點的右子樹)
如果d1 > d2,則返回列表[d1 + 1, l]
否則,如果d2 > d1,則返回列表[d2 + 1, r]
返回列表[d1 + 1, 節點]
在主方法中,我們將執行:
list := solve(根節點)
return list[1]
示例(Python)
讓我們看看下面的實現來更好地理解:
class TreeNode: def __init__(self, data, left = None, right = None): self.data = data self.left = left self.right = right def insert(temp,data): que = [] que.append(temp) while (len(que)): temp = que[0] que.pop(0) if (not temp.left): if data is not None: temp.left = TreeNode(data) else: temp.left = TreeNode(0) break else: que.append(temp.left) if (not temp.right): if data is not None: temp.right = TreeNode(data) else: temp.right = TreeNode(0) break else: que.append(temp.right) def make_tree(elements): Tree = TreeNode(elements[0]) for element in elements[1:]: insert(Tree, element) return Tree def print_tree(root): #print using inorder traversal if root is not None: print_tree(root.left) print(root.data, end = ', ') print_tree(root.right) class Solution(object): def lcaDeepestLeaves(self, root): return self.solve(root)[1] def solve(self,node): if not node: return [0,None] if not node.left and not node.right: return [1,node] d1,l = self.solve(node.left) d2,r = self.solve(node.right) if d1>d2: return [d1+1,l] elif d2>d1: return [d2+1,r] return [d1+1,node] ob = Solution() root = make_tree([1,2,3,4,5]) print_tree(ob.lcaDeepestLeaves(root))
輸入
[1,2,3,4,5]
輸出
4, 2, 5,
廣告
資料結構
網路
關係資料庫管理系統 (RDBMS)
作業系統
Java
iOS
HTML
CSS
Android
Python
C語言程式設計
C++
C#
MongoDB
MySQL
Javascript
PHP