C++ 中最深葉子總和
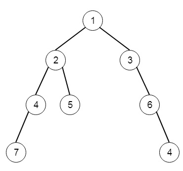
假設我們有一棵二叉樹,我們必須找出其最深葉節點之值的總和。因此,如果樹形圖如下:

則輸出將為 15。
為了解決此問題,我們將按照以下步驟執行操作:
- 定義一個對映 m 和 maxDepth
- 定義一個遞迴方法 solve(),它會獲取節點和級別,最初級別為 0
- 如果節點不存在,則返回
- maxDepth := 級別和 maxDepth 的最大值
- 將 m[level] 乘以節點值
- solve(節點左節點,級別 + 1)
- solve(節點右節點,級別 + 1)
- 在主方法中,設定 maxDepth := 0,然後解決 (root, 0)
- 返回 m[maxDepth]
示例 (C++)
讓我們看看以下實現,以更好地理解它:
#include <bits/stdc++.h>
using namespace std;
class TreeNode{
public:
int val;
TreeNode *left, *right;
TreeNode(int data){
val = data;
left = NULL;
right = NULL;
}
};
void insert(TreeNode **root, int val){
queue<TreeNode*> q;
q.push(*root);
while(q.size()){
TreeNode *temp = q.front();
q.pop();
if(!temp->left){
if(val != NULL)
temp->left = new TreeNode(val);
else
temp->left = new TreeNode(0);
return;
}
else{
q.push(temp->left);
}
if(!temp->right){
if(val != NULL)
temp->right = new TreeNode(val);
else
temp->right = new TreeNode(0);
return;
}
else{
q.push(temp->right);
}
}
}
TreeNode *make_tree(vector<int> v){
TreeNode *root = new TreeNode(v[0]);
for(int i = 1; i<v.size(); i++){
insert(&root, v[i]);
}
return root;
}
class Solution {
public:
int maxDepth;
map <int, int> m;
void solve(TreeNode* node, int level = 0){
if(!node)return;
maxDepth = max(level, maxDepth);
m[level] += node->val;
solve(node->left, level + 1);
solve(node->right, level + 1);
}
int deepestLeavesSum(TreeNode* root) {
maxDepth = 0;
m.clear();
solve(root);
//cout << maxDepth << endl;
return m[maxDepth];
}
};
main(){
vector<int> v = {1,2,3,4,5,NULL,6,7,NULL,NULL,NULL,NULL,8};
TreeNode *root = make_tree(v);
Solution ob;
cout << (ob.deepestLeavesSum(root));
}輸入
[1,2,3,4,5,null,6,7,null,null,null,null,8]
輸出
15
廣告
資料結構
網路
RDBMS
作業系統
Java
iOS
HTML
CSS
Android
Python
C 語言
C++
C#
MongoDB
MySQL
JavaScript
PHP