C++ 中刪除具有給定值的葉子節點
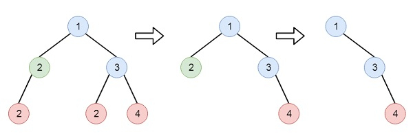
假設我們有一個二叉樹和一個整數目標值,我們需要刪除所有值為目標值的葉子節點。需要注意的是,一旦我們刪除了一個值為目標值的葉子節點,如果其父節點變成了葉子節點並且其值也為目標值,則也應該刪除它(我們需要持續這樣做,直到無法再刪除為止)。因此,如果樹如以下所示,目標值為 2,則最終的樹將如最後一個所示:

為了解決這個問題,我們將遵循以下步驟:
定義一個名為 remLeaf() 的遞迴方法,它將接收根節點和目標值作為引數。
如果根節點為空,則返回 null。
left := remLeaf(根節點的左子節點, 目標值)
right := remLeaf(根節點的右子節點, 目標值)
如果左子節點為空且右子節點為空,並且根節點的值與目標值相同,則返回 null。
根節點的左子節點 := left
根節點的右子節點 := right
返回根節點。
示例 (C++)
讓我們看看以下實現,以便更好地理解:
#include <bits/stdc++.h>
using namespace std;
class TreeNode{
public:
int val;
TreeNode *left, *right;
TreeNode(int data){
val = data;
left = right = NULL;
}
};
void insert(TreeNode **root, int val){
queue<TreeNode*> q;
q.push(*root);
while(q.size()){
TreeNode *temp = q.front();
q.pop();
if(!temp->left){
if(val != NULL)
temp->left = new TreeNode(val);
else
temp->left = new TreeNode(0);
return;
} else {
q.push(temp->left);
}
if(!temp->right){
if(val != NULL)
temp->right = new TreeNode(val);
else
temp->right = new TreeNode(0);
return;
} else {
q.push(temp->right);
}
}
}
TreeNode *make_tree(vector<int> v){
TreeNode *root = new TreeNode(v[0]);
for(int i = 1; i<v.size(); i++){
insert(&root, v[i]);
}
return root;
}
void tree_level_trav(TreeNode*root){
if (root == NULL) return;
cout << "[";
queue<TreeNode *> q;
TreeNode *curr;
q.push(root);
q.push(NULL);
while (q.size() > 1) {
curr = q.front();
q.pop();
if (curr == NULL){
q.push(NULL);
} else {
if(curr->left)
q.push(curr->left);
if(curr->right)
q.push(curr->right);
if(curr->val == 0 || curr == NULL){
cout << "null" << ", ";
} else {
cout << curr->val << ", ";
}
}
}
cout << "]"<<endl;
}
class Solution {
public:
TreeNode* removeLeafNodes(TreeNode* root, int target) {
if(!root || root->val == 0) return NULL;
TreeNode* left = removeLeafNodes(root->left, target);
TreeNode* right = removeLeafNodes(root->right, target);
if(!left && !right && root->val == target){
return NULL;
}
root->left = left;
root->right = right;
return root;
}
};
main() {
vector<int> v1 = {1,2,3,2,NULL,2,4};
TreeNode *root = make_tree(v1);
Solution ob;
tree_level_trav(ob.removeLeafNodes(root, 2));
}輸入
[1,2,3,2,null,2,4] 2
輸出
[1, 3, 4, ]
廣告
資料結構
網路
關係資料庫管理系統
作業系統
Java
iOS
HTML
CSS
Android
Python
C 程式設計
C++
C#
MongoDB
MySQL
Javascript
PHP