如何在 R 中使用 ggplot2 增加箱線圖之間的距離?
為了增加使用 ggplot2 建立的箱線圖之間的距離,我們可以減小箱線圖的寬度,這樣箱線圖之間的距離就會自動增加。當我們建立的箱線圖類別數量很多時,就需要這樣做。
請檢視以下示例,瞭解如何實現。
示例
以下程式碼片段建立了一個示例資料框 -
Group<-sample(c("India","China","USA","France","UK"),20,replace=TRUE)
Rate<-rpois(20,5)
df<-data.frame(Group,Rate)
df建立了以下資料框 -
Group Rate 1 USA 7 2 UK 2 3 USA 3 4 USA 4 5 France 3 6 China 4 7 USA 5 8 USA 6 9 USA 3 10 UK 6 11 China 4 12 UK 4 13 India 5 14 India 1 15 USA 3 16 France 4 17 France 5 18 France 8 19 China 7 20 India 6
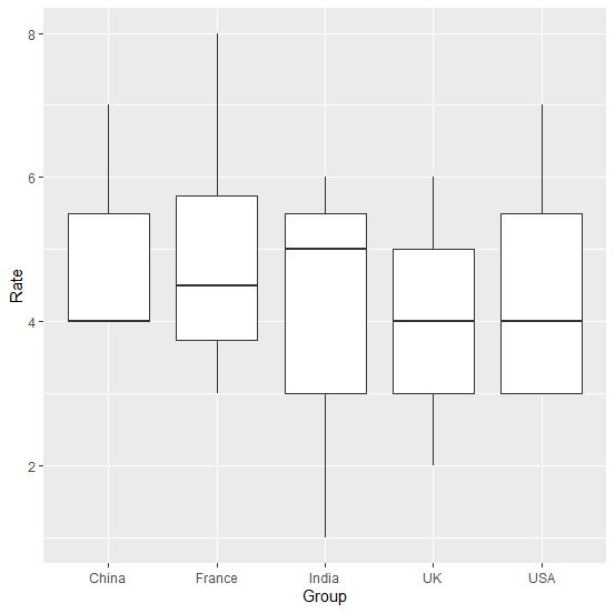
要載入 ggplot2 包併為 df 中的資料建立箱線圖,請將以下程式碼新增到上述程式碼片段中 -
library(ggplot2) ggplot(df,aes(Group,Rate))+geom_boxplot()
輸出
如果將以上所有程式碼片段作為單個程式執行,則會生成以下輸出 -

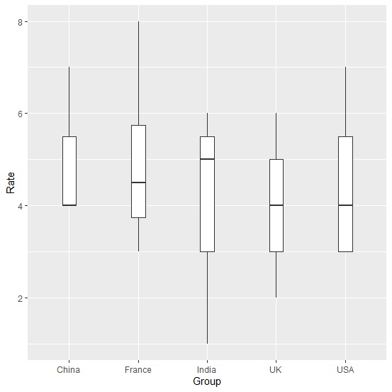
現在,要為 df 中的資料建立箱線圖,並在箱線圖之間留出更大的距離,請將以下程式碼新增到上述程式碼片段中 -
ggplot(df,aes(Group,Rate))+geom_boxplot(width=0.2)
輸出
如果將以上所有程式碼片段作為單個程式執行,則會生成以下輸出 -

廣告
資料結構
網路
關係型資料庫管理系統
作業系統
Java
iOS
HTML
CSS
Android
Python
C 程式設計
C++
C#
MongoDB
MySQL
Javascript
PHP