如何在R中使用ggplot2建立使用灰色調色盤的類別箱線圖?
要使用ggplot2建立具有灰色調色盤的類別箱線圖,我們可以按照以下步驟操作:
- 首先,建立一個數據框。
- 然後,建立具有預設條形顏色的類別箱線圖。
- 建立具有灰色調色盤條形顏色的類別箱線圖。
建立資料框
讓我們建立一個如下所示的資料框:
Group<-sample(c("Low","Medium","High"),25,replace=TRUE)
Score<-sample(1:100,25)
df<-data.frame(Group,Score)
df執行上述指令碼後,將生成以下輸出(由於隨機化,此輸出在您的系統上會有所不同):
Group Score 1 Low 57 2 Low 50 3 Medium 27 4 High 84 5 High 100 6 Low 95 7 Low 13 8 High 12 9 Medium 11 10 Medium 42 11 Medium 25 12 Low 5 13 High 85 14 Low 70 15 Medium 33 16 Medium 92 17 Low 58 18 High 88 19 High 61 20 High 8 21 High 39 22 Medium 38 23 High 37 24 High 96 25 Low 6
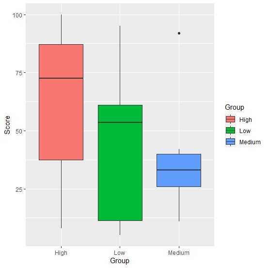
建立條形顏色為預設顏色的箱線圖
載入ggplot2包並建立條形顏色為預設顏色的箱線圖:
Group<-sample(c("Low","Medium","High"),25,replace=TRUE)
Score<-sample(1:100,25)
df<-data.frame(Group,Score)
library(ggplot2)
ggplot(df,aes(Group,Score,fill=Group))+geom_boxplot()輸出

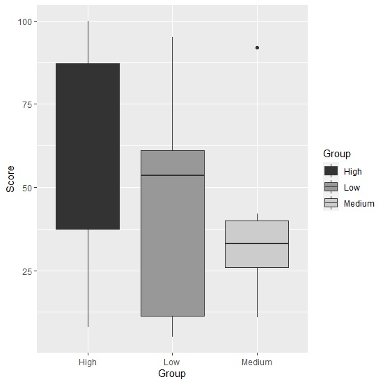
建立條形顏色為灰色的箱線圖
使用scale_fill_grey建立條形顏色為灰色調色盤的箱線圖:
Group<-sample(c("Low","Medium","High"),25,replace=TRUE)
Score<-sample(1:100,25)
df<-data.frame(Group,Score)
library(ggplot2)
ggplot(df,aes(Group,Score,fill=Group))+geom_boxplot()+scale_fill_grey()輸出

廣告
資料結構
網路
關係資料庫管理系統 (RDBMS)
作業系統
Java
iOS
HTML
CSS
Android
Python
C語言程式設計
C++
C#
MongoDB
MySQL
Javascript
PHP