如何在R中使用ggplot2建立使用反向灰色調色盤的類別箱線圖?
要使用ggplot2建立使用反向灰色調色盤的類別箱線圖,我們可以按照以下步驟操作:
- 首先,建立一個數據框。
- 然後,建立具有灰色調色盤顏色條的類別箱線圖。
- 建立具有反向灰色調色盤顏色條的類別箱線圖。
建立資料框
讓我們建立一個如下所示的資料框:
Group<-sample(c("Low","Medium","High"),25,replace=TRUE)
Score<-sample(1:100,25)
df<-data.frame(Group,Score)
df執行上述指令碼後,將生成以下輸出(此輸出由於隨機化,在您的系統上會有所不同):
Group Score 1 High 33 2 Low 43 3 Medium 16 4 Low 90 5 High 67 6 Medium 52 7 High 82 8 High 62 9 Medium 28 10 High 39 11 Low 15 12 High 57 13 Low 51 14 Medium 100 15 Low 97 16 Medium 23 17 High 72 18 Medium 96 19 Low 22 20 Medium 35 21 Low 6 22 High 88 23 Medium 65 24 Low 11 25 High 37
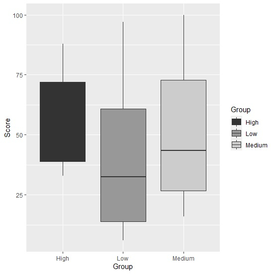
建立具有灰色調色盤顏色條的箱線圖
使用`scale_fill_grey`建立具有灰色調色盤顏色條的箱線圖:
Group<-sample(c("Low","Medium","High"),25,replace=TRUE)
Score<-sample(1:100,25)
df<-data.frame(Group,Score)
library(ggplot2)
ggplot(df,aes(Group,Score,fill=Group))+geom_boxplot()+scale_fill_grey()輸出

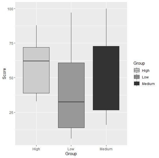
建立具有反向灰色調色盤顏色條的箱線圖
使用`scale_fill_grey`建立具有反向灰色調色盤顏色條的箱線圖(`start`和`end`的預設值為`start=0.2`和`end=0.8`):
Group<-sample(c("Low","Medium","High"),25,replace=TRUE)
Score<-sample(1:100,25)
df<-data.frame(Group,Score)
library(ggplot2)
ggplot(df,aes(Group,Score,fill=Group))+geom_boxplot()+scale_fill_grey(start=0.8,end=
0.2)輸出

廣告
資料結構
網路
關係資料庫管理系統 (RDBMS)
作業系統
Java
iOS
HTML
CSS
Android
Python
C語言程式設計
C++
C#
MongoDB
MySQL
Javascript
PHP