在 C++ 中查詢底部左邊的樹值
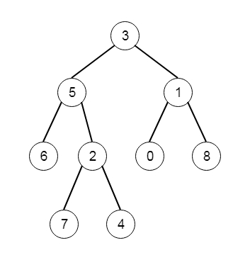
假設我們有一棵二叉樹。我們需要找到該樹最後一行最左邊的值。因此,如果樹如下 −

那麼輸出將是 7,因為最後一行是 [7, 4],最左邊的元素是 7。
為了解決這個問題,我們將按照以下步驟進行 −
最初將 ans 和 lvl 的變數定義為 0
定義一個名為 solve() 的方法,該方法將取樹節點和層,該層最初為 0。這將按如下方式進行 −
如果節點為 null,則返回
如果層 > lvl 則 ans := 節點的值,且 lvl := 層
solve(節點的左節點,層 + 1)
solve(節點的右節點,層 + 1)
在 main 部分,將 lvl 設定為 -1,呼叫 solve(root),並返回 ans
讓我們看看以下實現以獲得更好的理解 −
示例
#include <bits/stdc++.h>
using namespace std;
void print_vector(vector<auto> v){
cout << "[";
for(int i = 0; i<v.size(); i++){
cout << v[i] << ", ";
}
cout << "]"<<endl;
}
class TreeNode{
public:
int val;
TreeNode *left, *right;
TreeNode(int data){
val = data;
left = NULL;
right = NULL;
}
};
void insert(TreeNode **root, int val){
queue<TreeNode*> q;
q.push(*root);
while(q.size()){
TreeNode *temp = q.front();
q.pop();
if(!temp->left){
if(val != NULL)
temp->left = new TreeNode(val);
else
temp->left = new TreeNode(0);
return;
} else {
q.push(temp->left);
}
if(!temp->right){
if(val != NULL)
temp->right = new TreeNode(val);
else
temp->right = new TreeNode(0);
return;
} else {
q.push(temp->right);
}
}
}
TreeNode *make_tree(vector<int> v){
TreeNode *root = new TreeNode(v[0]);
for(int i = 1; i<v.size(); i++){
insert(&root, v[i]);
}
return root;
}
class Solution {
public:
int ans;
int lvl;
void solve(TreeNode* node, int level = 0){
if(!node || node->val == 0) return;
if(level > lvl){
ans = node->val;
lvl = level;
}
solve(node->left, level + 1);
solve(node->right, level + 1);
}
int findBottomLeftValue(TreeNode* root) {
lvl = -1;
solve(root);
return ans;
}
};
main(){
vector<int> v = {3,5,1,6,2,0,8,NULL,NULL,7,4};
TreeNode *tree = make_tree(v);
Solution ob;
cout <<(ob.findBottomLeftValue(tree));
}輸入
[3,5,1,6,2,0,8,null,null,7,4]
輸出
7
廣告
資料結構
網路
RDBMS
作業系統
Java
iOS
HTML
CSS
Android
Python
C 程式設計
C++
C#
MongoDB
MySQL
Javascript
PHP