親電芳香取代反應
介紹
取代反應是指化學物質中的一個官能團被另一個官能團取代的反應。它也被稱為單取代反應。這些反應在無機化學中至關重要。這種反應發生在有機化合物或芳香烴中。這些反應有助於保持芳香族化合物的芳香性。在這些反應中,苯環上的氫(H)原子被親電試劑取代。
親電芳香取代反應
當一個親電試劑(吸電子試劑)取代連線到芳香環上的原子時,就會發生這些反應。在這些反應中,苯環上的氫(H)原子經常被親電試劑(吸電子試劑)取代。
在親電芳香取代 (EAS) 反應中,芳香體系的芳香性得以保持。例如,當苯和溴反應生成溴苯時,芳環的穩定性不會受到影響。

與碘 (I)、氯 (Cl) 或溴 (Br) 的芳香鹵化反應可以產生芳基鹵化物或滷代芳烴。在這些過程中,三鹵化鋁通常用作催化劑。
不同型別的親電芳香取代反應
這種反應有幾種型別:傅-克醯基化反應、芳香磺化反應、親電芳香鹵化反應、傅-克烷基化反應以及芳香硝化反應。
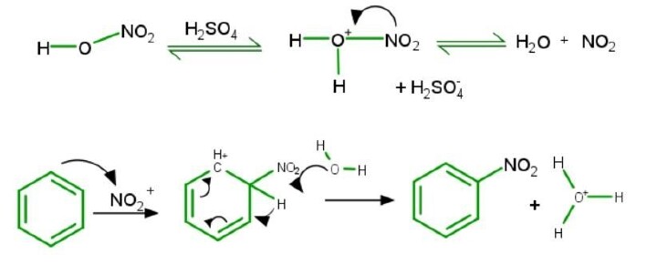
硝化
此過程涉及硝基 (NO_2) 基團。硝基作為吸電子試劑取代氫 (H) 原子。
在這個過程中,也使用了硫酸作為催化劑。使用的另一種酸是硝酸,它最終會失去一個質子以產生硝鎓離子。親電芳香取代 (EAS) 過程可用於處理這種硝鎓離子。
TNT 及其他烈性炸藥是使用硝基的親電取代過程的極好例子。透過此過程,可以製備三硝基甲苯(TNT),也稱為甲苯。

鹵化
在這些過程中,使用鹵素基團組分,主要是溴和氯。
取代反應將苯中的氫 (H) 原子用氯 (Cl) 或溴 (Br) 取代。
但由於它們自身的力量不足以進行反應,因此使用路易斯酸等酸作為催化劑來加速或完成反應。
這些酸,例如溴化鋁或鐵,將電子 (e-) 對轉移到它們的原子,使它們能夠形成穩定的鍵。
在這個過程中,苯環最終會失去其芳香性併產生活化能。由於它們的正電荷 (+ve),溴或氯利用它們的親電作用來應對這種能量。

磺化
用磺酸 (SO3) 取代氫 (H) 的過程稱為磺化。
此反應與硝化非常相似,透過用 H2 SO4 對 SO_3 進行質子化,生成吸電子試劑。
這促進了強親電試劑(吸電子試劑)的形成。獲得產物後,反應透過親電芳香取代 (EAS) 過程進行。

傅-克烷基化反應
傅-克烷基化反應使用烷基。在早期步驟中,各種分子與苯的碳 (C) 反應,但也可以形成碳-碳 (C-C) 鍵。
烷基鹵化物必須在路易斯酸等催化劑存在下與苯反應。當氯甲烷在氯化鋁或氯化鐵存在下與苯反應時,會發生親電取代反應 (ESR)。
路易斯酸透過破壞鍵,使氯 (Cl) 原子更容易脫離。即使反應的結果具有高親核性。

傅-克醯基化反應
在此過程中,氫 (H) 通常被醯基 (RC=O) 取代。
在這個過程中,通常使用羧酸鹵化物和醯氯等試劑。
也使用路易斯酸作為催化劑。
為了產生親電試劑,使用來自 H_3 C(C=O)Cl 的一對氯。
最後,氯碳鍵斷裂。反應的結果通常是形成芳基酮。

親電芳香取代的機理是什麼?
親電芳香取代 (EAS) 由三個基本要素組成:
在反應過程中,在芳烴親核試劑的 C=C 中形成新的鍵。
C-H 鍵的斷裂除去質子。
透過重新形成 C=C 來恢復芳香性。
反應機理通常包括兩個主要步驟。
步驟 1
吸電子試劑(親電試劑)透過靶向芳香苯環中的 π 電子 (e-) 來引發反應。
結果,產生了芳鎓離子,它是一個帶正電荷 (+) 的離域環己二烯基陽離子或共振穩定的碳正離子。
該離子主要由三個共振供體組成。總的來說,對芳香環的親電攻擊需要耐心,是一個耗時的過程。
它也是吸熱的,並且由於芳香性的損失而具有更高的活化能。
親電試劑的攻擊取決於多種因素,包括共振、機率和空間位阻。
步驟 2
形成的碳正離子中間體被鹼靶向,導致質子損失。
然後使用電子 (e-) 來重建 π 鍵,再次恢復芳香性。
這是一個非常快速且通常是放熱的過程。由於吸電子試劑靶向苯環,碳正離子最終會失去質子。

結論
親電芳香取代 (EAS) 機理與芳香烴或配合物中取代反應的過程有關。當化學物質中的一個官能團被另一個官能團取代時,就會發生取代反應。取代反應在無機化學中至關重要。芳香取代反應對於合成重要的中間體是必需的。這些化學品存在於各種行業中,包括農業、工業產品和製藥。
常見問題解答
1. 解釋取代反應。
當化學物質中的一個官能團被另一個官能團取代時,就會發生這個過程。它們在無機化學中至關重要。
2. 芳香性到底是什麼?
它是具有共振π鍵的環狀平面結構的一個特徵,這使得它們比具有相同原子數的其他關聯結構更穩定。芳環非常穩定,因此不容易分解。
3. 定義親電試劑一詞。
它是一種接受電子 (e-) 對並與親核試劑形成鍵的化學物質。由於它們接受電子,因此親電試劑是路易斯酸。
4. 芳香取代的目的是什麼?
芳香取代反應對於合成重要的中間體是必需的。這些化學品存在於各種行業中,包括農業、工業產品和製藥。我們使用過時的辦法來進行此反應,這可能導致區域異構體組合的形成。正在開發新的方法以提高系統的效率。
5. 如何計算親電芳香取代 (EAS) 反應的反應活性?
吸電子試劑攻擊苯環並用自身取代其取代基。因此,取代基對反應的反應活性有直接影響。如果取代基是供體,反應將很快,但如果取代基接受電子,反應將很慢。
資料結構
網路
關係型資料庫管理系統 (RDBMS)
作業系統
Java
iOS
HTML
CSS
Android
Python
C語言程式設計
C++
C#
MongoDB
MySQL
Javascript
PHP