資料結構中圖的有向圖深度優先搜尋
圖的深度優先搜尋類似。但是對於有向圖或有向圖,我們可以找到一些型別的邊。DFS演算法形成一棵稱為DFS樹的樹。有四種類型的邊,稱為 -
樹邊 (T) - 存在於DFS樹中的那些邊
前向邊 (F) - 與一組樹邊平行。(從較小的DFS編號到較大的DFS編號,以及較大的DFS完成編號到較小的DFS完成編號)
後向邊 (B) - 從較大的DFS編號到較小的DFS編號,以及較小的DFS完成編號到較大的DFS完成編號。
橫向邊 (C) - 較大的DFS編號到較小的DFS編號,以及較大的DFS完成編號到較小的DFS完成編號。
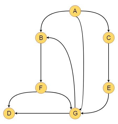
假設我們有一個如下所示的圖 -

現在我們將以A作為初始頂點執行DFS,並輸入DFS編號和DFS完成編號。因此,樹將如下所示 -

所以DFS遍歷是A、B、F、D、G、C、E
樹邊為 - T = {(A, B), (B, F), (F, D), (F, G), (A, C), (C, E)}
前向邊為 - F = {(A, G)}
後向邊為 - B = {(G, B)}
橫向邊為 -C = {(G, D)}
廣告
資料結構
網路
關係型資料庫管理系統
作業系統
Java
iOS
HTML
CSS
Android
Python
C語言程式設計
C++
C#
MongoDB
MySQL
Javascript
PHP