C++程式:檢查有向圖是否包含歐拉回路
歐拉回路/環路是一條路徑;透過它我們可以恰好訪問每條邊一次。我們可以多次使用相同的頂點。尤拉環路是尤拉路徑的一種特殊型別。當尤拉路徑的起始頂點也與該路徑的結束頂點相連時,則稱其為尤拉環路。

要檢查圖是否為尤拉圖,我們必須檢查兩個條件:
圖必須是連通的。
每個頂點的入度和出度必須相同。
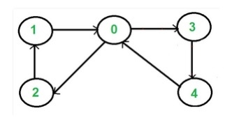
輸入 - 圖的鄰接矩陣。
| 0 | 1 | 0 | 0 | 0 |
| 0 | 0 | 1 | 0 | 0 |
| 0 | 0 | 0 | 1 | 1 |
| 1 | 0 | 0 | 0 | 0 |
| 0 | 0 | 1 | 0 | 0 |
輸出 - 找到歐拉回路
演算法
traverse(u, visited)
輸入 - 起始節點u和已訪問節點,用於標記已訪問的節點。
輸出 - 遍歷所有連線的頂點。
Begin
mark u as visited
for all vertex v, if it is adjacent with u, do
if v is not visited, then
traverse(v, visited)
done
EndisConnected(graph)
輸入 - 圖。
輸出 - 如果圖是連通的則返回True。
Begin
define visited array
for all vertices u in the graph, do
make all nodes unvisited
traverse(u, visited)
if any unvisited node is still remaining, then
return false
done
return true
EndisEulerCircuit(Graph)
輸入 - 給定的圖。
輸出 - 找到一個歐拉回路時返回True。
Begin if isConnected() is false, then return false define list for inward and outward edge count for each node for all vertex i in the graph, do sum := 0 for all vertex j which are connected with i, do inward edges for vertex i increased increase sum done number of outward of vertex i is sum done if inward list and outward list are same, then return true otherwise return false End
示例程式碼
#include<iostream>
#include<vector>
#define NODE 5
using namespace std;
int graph[NODE][NODE] = {{0, 1, 0, 0, 0},
{0, 0, 1, 0, 0},
{0, 0, 0, 1, 1},
{1, 0, 0, 0, 0},
{0, 0, 1, 0, 0}};
void traverse(int u, bool visited[]) {
visited[u] = true; //mark v as visited
for(int v = 0; v<NODE; v++) {
if(graph[u][v]) {
if(!visited[v])
traverse(v, visited);
}
}
}
bool isConnected() {
bool *vis = new bool[NODE];
//for all vertex u as start point, check whether all nodes are visible or not
for(int u; u < NODE; u++) {
for(int i = 0; i<NODE; i++)
vis[i] = false; //initialize as no node is visited
traverse(u, vis);
for(int i = 0; i<NODE; i++) {
if(!vis[i]) //if there is a node, not visited by traversal, graph is not connected
return false;
}
}
return true;
}
bool isEulerCircuit() {
if(isConnected() == false) { //when graph is not connected
return false;
}
vector<int> inward(NODE, 0), outward(NODE, 0);
for(int i = 0; i<NODE; i++) {
int sum = 0;
for(int j = 0; j<NODE; j++) {
if(graph[i][j]) {
inward[j]++; //increase inward edge for destination
vertex
sum++; //how many outward edge
}
}
outward[i] = sum;
}
if(inward == outward) //when number inward edges and outward edges
for each node is same
return true;
return false;
}
int main() {
if(isEulerCircuit())
cout << "Euler Circuit Found.";
else
cout << "There is no Euler Circuit.";
}輸出
Euler Circuit Found.
廣告
資料結構
網路
關係資料庫管理系統(RDBMS)
作業系統
Java
iOS
HTML
CSS
Android
Python
C語言程式設計
C++
C#
MongoDB
MySQL
Javascript
PHP