Chainer - 計算圖



計算圖在深度學習中至關重要,用於表示和執行神經網路中的操作。Chainer 引入了一種獨特的**執行時定義**(define-by-run) 方法,使其與眾不同,因為它提供了一種動態且適應性強的構建和管理這些圖的方式。

什麼是計算圖?

**計算圖**是一個有向圖,表示計算函式或執行計算所涉及的操作序列和依賴關係。圖中的每個節點對應一個計算操作,例如加法、乘法或更復雜的函式,而邊表示資料流或這些操作之間的依賴關係。

Chainer 的執行時定義方法

Chainer 的**執行時定義**(Define-by-Run) 方法是一個顯著的特性,使其區別於其他深度學習框架。它能夠靈活地即時構建計算圖,從而簡化了設計和測試複雜神經網路架構的過程。

Chainer 的**執行時定義**方法增強了開發神經網路模型的靈活性和可讀性,並提高了效率,使得更容易地實驗和改進複雜的架構。

以下是執行時定義方法的關鍵特性:

  • **動態圖構建:**在執行時定義方法中,計算圖是在執行操作期間動態建立的。它不是預先定義整個圖結構,而是在網路處理資料時即時組裝,以適應輸入和模型結構的變化。
  • **模型設計靈活性:**這種方法允許動態更改模型架構。開發人員可以在網路定義中使用控制流機制(如迴圈和條件語句),這使得更容易設計適應不同條件或輸入的模型。
  • **簡化除錯:**使用執行時定義進行除錯更加簡單,因為程式碼執行和圖構建同時發生。可以使用標準的 Python 除錯工具,如 print 語句和互動式除錯,而無需額外的複雜性。
  • **適應複雜模型:**對於結構可能根據資料或中間結果而變化的複雜網路,執行時定義尤其有利。這種適應性對於序列到序列學習或處理可變長度輸入等任務非常有用。
  • **可讀且直觀的程式碼:**這種方法促進了編寫與正在執行的數學運算緊密相關的程式碼。這使得程式碼更清晰易懂,因為它反映了操作的邏輯,而無需靜態圖設定。

計算圖如何在 Chainer 中工作?

眾所周知,Chainer 的計算圖使用其執行時定義方法進行操作,這允許動態和靈活的模型構建。下面我們可以看到 Chainer 的計算圖是如何工作的:

  • **動態構建:**與靜態圖框架不同,靜態圖框架需要在執行之前定義整個圖,Chainer 會動態構建計算圖。隨著操作的執行,Chainer 即時構建圖。這允許根據執行的操作進行即時調整和修改。
  • **前向傳播:**在執行前向傳播時,Chainer 將輸入資料透過網路進行處理。隨著每個操作的執行,Chainer 在計算圖中建立節點和邊來表示操作和資料流。這意味著圖結構隨著計算的發生而發展。
  • **反向傳播:**在前向傳播完成後並獲得輸出後,Chainer 使用動態構建的圖在反向傳播期間計算梯度。梯度是透過自動微分計算的,其中鏈式法則應用於圖以更新模型引數。
  • **靈活的模型設計:**Chainer 的方法允許在網路定義中包含條件語句、迴圈和其他控制流機制。這種靈活性對於需要根據輸入資料或中間結果動態調整架構的複雜模型尤其有用。
  • **執行和除錯:**執行時定義模型意味著除錯和程式碼執行同時發生。開發人員可以使用標準的 Python 除錯工具(如 print 語句和互動式偵錯程式)來檢查和理解模型的行為,因為計算圖正在構建和執行。
  • **適應性:**Chainer 的動態圖構建非常適合涉及可變長度輸入或序列的任務。圖可以即時適應輸入資料的變化結構,使其適用於序列到序列模型或可變長度序列等應用。

計算圖的優勢

Chainer 的計算圖提供了幾個優勢,使其成為開發神經網路的強大工具:

  • **動態圖構建:**Chainer 在執行時動態構建計算圖,而不是預先需要靜態定義。這使得模型設計更加靈活,因為圖可以根據輸入資料和中間計算進行調整。
  • **模型設計靈活性:**Chainer 計算圖的動態特性支援涉及不同結構的複雜架構,例如具有條件操作或迴圈的架構。這對於迴圈神經網路 (RNN) 和序列到序列模型等模型尤其有用。
  • **易於除錯:**由於圖是在執行期間構建的,因此開發人員可以使用標準的 Python 除錯工具輕鬆除錯模型。這意味著錯誤可以更直觀地跟蹤和修復,而無需深入研究預先構建的靜態圖。
  • **適應可變長度輸入:**Chainer 的方法非常適合處理可變長度輸入,例如文字序列或時間序列資料。圖會動態適應輸入的長度和結構,使其成為自然語言處理等任務的理想選擇。
  • **簡化的程式碼結構:**執行時定義方法允許更自然、更易讀的程式碼,因為它緊密遵循正在執行的操作的邏輯。開發人員可以以反映數學運算的方式編寫模型,而無需將其對映到預定義的圖結構。
  • **支援控制流操作:**Chainer 的計算圖可以直接在網路架構中包含控制流操作,如迴圈和條件語句。對於需要複雜決策過程或迭代計算的模型,這是一個顯著的優勢。
  • **即時圖修改:**能夠在執行期間即時修改圖,允許實驗不同的架構並即時進行調整,而無需重新定義整個模型。

計算圖的應用

由於計算圖能夠以視覺和數學方式表示複雜的計算,因此在許多領域都至關重要。以下是計算圖的一些關鍵應用:

  • **深度學習:**計算圖透過啟用高效的前向傳播和反向傳播來模擬資料在神經網路中的流動,從而訓練深度學習模型。
  • **最佳化:**它們用於視覺化和計算最佳化問題中的梯度,幫助找到給定目標函式的最佳引數。
  • **自動微分:**計算圖能夠實現自動微分,這是一種用於高效計算導數的技術,對於訓練機器學習模型至關重要。
  • **機率建模:**在機率圖模型中,計算圖表示隨機變數之間的依賴關係,促進複雜模型(如貝葉斯網路)中的推理和學習。
  • **編譯器和執行引擎:**計算圖用於現代編譯器和執行引擎(如 TensorFlow 和 PyTorch)中,以最佳化和高效地在不同的硬體架構上執行操作。
  • **訊號處理:**計算圖用於設計和分析訊號處理演算法,提供了一種結構化的方式來表示和最佳化訊號變換和濾波操作。

示例

要在 Chainer 中顯示計算圖,我們可以使用**chainer.computational_graph** 模組建立圖的視覺化表示。以下是如何在 Chainer 框架中顯示計算圖的步驟:

  • **安裝 Chainer 和 Graphviz:**確保我們在工作環境中安裝了 Chainer 和 Graphviz,如果未安裝,我們可以使用 pip 透過以下程式碼進行安裝:
  • pip install chainer
    pip install graphviz
    
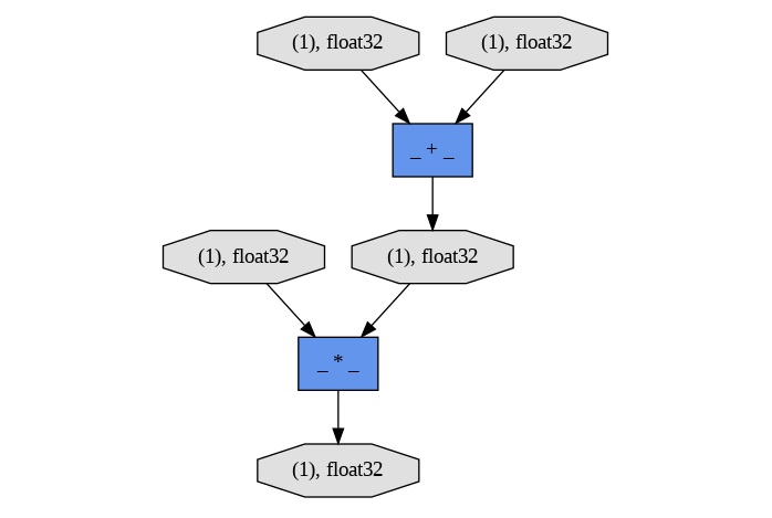
  • **建立一個簡單的計算圖:**我們將建立一個簡單的計算圖,計算函式**z=(x+y)×w**並顯示它。
  • **將 .dot 檔案轉換為影像:**計算圖輸出將儲存為**.dot 檔案**,可以使用**Graphviz**將其轉換為影像。為此,我們必須執行以下程式碼:
  • dot -Tpng graph.dot -o graph.png
    

    這將生成一個**graph.png**檔案,該檔案以可視方式表示計算圖。

現在,以下示例演示瞭如何使用 Chainer 構建簡單的計算圖並顯示它:

import chainer
import chainer.functions as F
import chainer.links as L
from chainer import Variable, Chain
from chainer.computational_graph import build_computational_graph
import numpy as np

# Define a simple model as a Chain
class SimpleModel(Chain):
   def __init__(self):
      super(SimpleModel, self).__init__()
      with self.init_scope():
         self.l1 = L.Linear(None, 1)  # A linear layer

   def forward(self, x, y, w):
      # Perform addition and multiplication
      h = x + y
      z = h * w
      return z

# Instantiate the model
model = SimpleModel()

# Create input variables using numpy arrays
x = Variable(np.random.normal(size=(1,)).astype(np.float32))
y = Variable(np.random.normal(size=(1,)).astype(np.float32))
w = Variable(np.random.normal(size=(1,)).astype(np.float32))

# Forward pass
z = model.forward(x, y, w)

# Build the computational graph
g = build_computational_graph([z])

# Save the graph to a file
with open('graph.dot', 'w') as f:
   f.write(g.dump())

print("Graph has been saved as graph.dot")
# converting the .dot file to png
!dot -Tpng graph.dot -o graph.png

from IPython.display import Image
Image('graph.png')

以下是為函式**z=(x+y)×w**建立的計算圖的輸出:

Graph has been saved as graph.dot
Computational Graph

**注意:**建議使用 Google Colaboratory 以獲得更好的結果。

廣告

© . All rights reserved.