在 JavaScript 樹中刪除節點
樹是一種非線性資料結構,它包含節點和邊;其中邊充當兩個節點之間的連結,節點在其內部儲存值。
遍歷是一種過程,它將檢索樹中每個節點的資料並按指定的順序列印它們。
下面列出了三種類型的樹遍歷:
中序遍歷 - 中序技術將遵循路徑(左 → 根 → 右)。
前序遍歷 - 前序技術將遵循路徑(根 → 左 → 右)。
後序遍歷 - 後序技術將遵循路徑(左 → 右 → 根)。
從樹中刪除節點
從樹中刪除節點這個術語基本上是一個過程,在這個過程中,一個節點被刪除並形成一個新的形狀。但在某些其他情況下,它會消除它們之間的連結,並替換為樹中的其他節點。
通常,記憶體(儲存)中不會有任何樹狀結構。它們是記憶體中隨機放置的元素(節點),我們試圖藉助指標(邊)將它們連線起來。
如果我們需要刪除一個元素,需要分離附加到它的指標並將其分配給相應的元素。
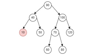
考慮下面的示例:

在上述情況下,我們嘗試刪除一個節點(40),該節點附加了一個子節點。如果要刪除的節點只有一個子節點,它將複製該子節點到該節點並刪除該子節點。
可以從樹中刪除節點。其中有三種可能的刪除節點的情況。以下列出了這些情況。
場景 1 - 如果要刪除的節點是葉子節點,則在這種情況下可以將其簡單地從樹中刪除。

演算法
如果節點是葉子節點
- 從樹中刪除節點。
場景 2 - 如果要刪除的節點只有一個子節點,它將複製其子節點到該節點並刪除該子節點。

演算法
如果節點有一個子節點
- 找到它的子節點,假設為 c_node。
- 將其設定為 node → data = c_node。
- 再次刪除子節點。
場景 3 - 如果要刪除的節點有兩個子節點。
首先,找到節點的中序後繼,並將它的值複製到要刪除的節點,然後刪除中序後繼節點。

演算法
如果節點同時具有左子節點和右子節點
- 在右子樹中找到最小的節點,假設為 min_node。
- 將其設定為 node → data = min_node。
- 再次刪除 min_node。
示例
在下面的示例中,我們實現了一個二叉搜尋樹,並在其中插入了足夠數量的節點。我們對給定的樹執行了刪除操作。我們還在從樹中刪除選定節點後執行了中序遍歷。

<!DOCTYPE html> <html> <head> <script> class Node { constructor(item) { this.key = item; this.left = this.right = null; } } let root = null; function deleteKey(key) { root = deleteRecursive(root, key); } function deleteRecursive(root, key) { if (root == null) return root; if (key < root.key) root.left = deleteRecursive(root.left, key); else if (key > root.key) root.right = deleteRecursive(root.right, key); else { if (root.left == null) return root.right; else if (root.right == null) return root.left; root.key = minimumValue(root.right); root.right = deleteRecursive(root.right, root.key); } return root; } function minimumValue(root) { let minValue = root.key; while (root.left != null) { minValue = root.left.key; root = root.left; } return minValue; } function insert(key) { root = insertRec(root, key); } function insertRec(root, key) { if (root == null) { root = new Node(key); return root; } if (key < root.key) root.left = insertRec(root.left, key); else if (key > root.key) root.right = insertRec(root.right, key); return root; } function inorder() { InorderRecursion(root); } function InorderRecursion(root) { if (root != null) { InorderRecursion(root.left); document.write(root.key + " "); InorderRecursion(root.right); } } insert(90); insert(40); insert(10); insert(50); insert(100); insert(70); insert(60); insert(80); insert(120); document.write("After inserting the above nodes In-order will be: <br>"); inorder(); document.write("<br>Delete the node 10<br><br>"); deleteKey(10); document.write("In-order after node 10 is deleted from the tree <br>"); inorder(); document.write("<br>Delete the node 40<br><br>"); deleteKey(40); document.write("In-order after node 40 is deleted from the tree <br>"); inorder(); document.write("<br>Delete the node 90<br><br>"); deleteKey(90); document.write("After removing the above nodes, the In-order will be as follows: <br>"); inorder(); </script> </head> <body> </body> </html>
輸出
上述指令碼的輸出將是:
After inserting the above nodes In-order will be: 10 40 50 60 70 80 90 100 120 Delete the node 10 In-order after node 10 is deleted from the tree 40 50 60 70 80 90 100 120 Delete the node 40 In-order after node 40 is deleted from the tree 50 60 70 80 90 100 120 Delete the node 90 After removing the above nodes, the In-order will be as follows: 50 60 70 80 100 120
廣告
資料結構
網路
RDBMS
作業系統
Java
iOS
HTML
CSS
Android
Python
C 語言程式設計
C++
C#
MongoDB
MySQL
Javascript
PHP