EIGRP和BGP之間有什麼區別?
在瞭解它們之間的區別之前,讓我們先了解一下**增強型內部閘道器路由協議 (EIGRP) 和邊界閘道器協議 (BGP)** 的概念。
增強型內部閘道器路由協議 (EIGRP)
它是 IGRP 協議的增強版。它包含 IGRP 的所有功能,並支援一些附加功能。
為了克服 IGRP 的缺點,例如收斂速度慢、跳數限制、不支援 VLSM 等,IGRP 是 RIP 的繼任者,它消除了 RIP 路由技術造成的障礙。
我們都知道,與 RIP 不同,IGRP 支援許多其他協議,除了 IP。EIGRP 也採用了同樣的方式。EIGRP 克服的主要缺點是它支援可變長度子網掩碼 (VLSM)。
在 EIGRP 中,與其他路由器的通訊透過“Hello”資料包進行,資訊交換透過“Update”資料包進行。
EIGRP 的另一個優點是它包含一個拓撲表,其中包含從一個路由器到另一個路由器路徑的資訊(最短路徑)。最短路徑是使用擴散更新演算法 (DUAL) 計算的。
它查詢其相鄰路由器的路由,而該路由器又查詢其相鄰路由器,並將此資訊儲存在拓撲表中。
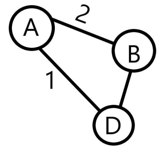
例如,讓我們考慮一下我們正在將資訊資料包從下圖所示的 A 點發送到 D 點的情況。

這裡包含兩條路徑:(A 到 D) 和 (A 到 B,然後 B 到 D)。在 EIGRP 中,使用 DUAL,它跟蹤相鄰路由並選擇最佳的、最短且無環的路徑。當涉及多個路由器時,DUAL 將非常有用。
特性
EIGRP 的特性如下:
支援可變長度子網掩碼和無類域間路由 (CIDR)。
它用於維護站點之間並行鏈路上的相應權重。
它能夠在不同時期使用相同的驗證密碼。
定期檢查路由是否可用,如果發生任何更改,則將路由更改傳播到相鄰路由器。
與 IGRP 路由協議向後相容。
度量計算
考慮以下與網路相關的屬性來計算 EIGRP 度量值。
頻寬
延遲
可靠性和
權重
EIGRP 度量 = 256*((K1*頻寬) + (K2*頻寬) / (權重) + K3*延遲)*(K5 / (可靠性 + K4)))
我們知道 K1 和 K3 的預設值設定為 1,K2、K4 和 K5 設定為 0。
因此,
EIGRP 度量 = 256*(頻寬 + 延遲)
邊界閘道器協議 (BGP)
它可以定義為一種標準化的外部閘道器協議,用於在網際網路上的各種自治系統 (AS) 之間交換路由資訊和可達性資訊。它被分類為路徑向量協議和距離向量路由協議。
它用於交換路由資訊。此協議將連線任何自治系統的互連網路。當一個網路路由器連線到另一個網路路由器時,它就會工作。
在這裡,網路不能手動識別為最佳網路,而它會自動被識別為最佳網路,並且這個最佳網路會自行傳送資料。
這將擁有所有對等夥伴,路由器將向其資料目的地靠近的路由器傳送流量。
特性
BGP 的特性如下:
路徑資訊
策略支援
執行在 TCP 之上
功能
BGP 的功能如下:
初始對等體獲取和身份驗證。
傳送正或負的可達性資訊。
檢查對等體及其之間的網路連線是否正常執行。
與其他 BGP 系統交換網路可達性資訊。
資料結構
網路
關係資料庫管理系統 (RDBMS)
作業系統
Java
iOS
HTML
CSS
Android
Python
C語言程式設計
C++
C#
MongoDB
MySQL
Javascript
PHP