硼砂的用途
介紹
硼砂是一種天然礦物,也是硼最重要的化合物之一。其化學式為$\mathrm{Na_2B_4O_7.10H_2O}$,存在於無水和十水合物狀態。它存在於洗手皂、洗衣增強劑,有時也存在於牙膏中。產品包括粉狀洗手皂、20 Mule Team 硼砂和牙齒美白配方。
什麼是硼砂?

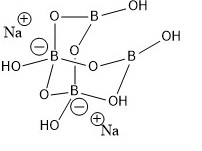
圖 1:無水硼砂的結構
硼砂是一種固體晶體型別的硼化合物,也稱為四硼酸鈉或硼酸鈉。這種化合物易溶於水,質地柔軟且無色。硼砂含有一個硼酸根離子和 3 個陽離子。還有各種幾乎相似的礦物,如十水合物、五水合物和八水合物鹽,也稱為硼砂。以下是這些硼砂鹽的化學式列表 -
| IUPAC 名稱 | 化學式 |
|---|---|
| 四硼酸鈉(無水) | $\mathrm{Na_2B_4O_7}$ |
| 四硼酸鈉五水合物 | $\mathrm{Na_2B_4O_7.5H_20}$ |
| 四硼酸鈉八水合物 | $\mathrm{Na_2[B_4O_5(OH)_4].8H_2O}$ |
| 四硼酸鈉十水合物 | $\mathrm{Na_2B_4O_7.10H_2O}$ |
表 1:不同型別的硼砂礦物
硼砂:發現
硼砂於 1856 年在北美北加州的蒂黑馬縣首次被發現。硼砂的正式發現是由亞倫和羅西·溫特斯首次完成的。他們在死亡谷將酒精和硫酸滴入礦石時發現了它。採礦始於 1880 年後。
硼砂的性質
硼砂具有一些獨特的化學和物理性質。下面將討論硼砂的這兩種性質。
化學性質
硼砂高度易燃,其火焰顏色為黃綠色。它在乙二醇中具有高溶解度,在丙酮中具有低溶解度。硼砂與酸反應很容易轉化為硼酸。反應如下 -
$$\mathrm{Na_2B_4O_7·10H_2O+2HCl\:\rightarrow\:4B(OH)_3+2NaCl+5H_2O}$$
它與氫氧化鈉反應。反應如下 -
$$\mathrm{ Na_2B_4O_7 + 7H_2O + 2NaOH\:\rightarrow\:4Na[B(OH)_4] }$$
物理性質
硼砂是一種白色或無色固體化合物,易溶於水。硼砂在無水狀態下的摩爾質量為 202.22,在十水合物狀態下的摩爾質量為 381.38。其密度分別為 2.4g/cm3 和 1.73 g/cm3(無水和十水合物狀態)。硼砂的熔點在無水狀態下為 743°C,在十水合物狀態下為 75°C。其無水狀態下的沸點為 1575°C。
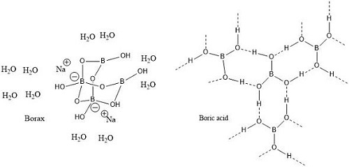
硼砂和硼

圖 2:硼砂和硼酸
硼砂和硼酸均由硼製成。硼砂是一種有助於生成硼酸的鹽。它是一種存在於礦山中的天然礦物。它可以從蒸發沉積物中收集。硼酸 (H3BO3) 是硼砂的純化形式。硼砂和硼酸均可用於殺蟲和製作粘液。
硼砂的用途
硼砂在現代世界和不同行業中具有各種有用的應用。一些主要用途如下 -
硼砂可用作顯影劑的鹼劑。
它是一種廣泛用於冶金的化合物。
它可用作食品裝飾,用作增稠劑。
它可以用來殺死真菌,因為它具有抗真菌的特性。由於這種特性,它有助於治療不同型別的足部感染。
它有助於治療馬的念珠菌病,這是一種細菌感染。
它有助於處理受蟲蛀感染的木材和其他木材產品。
一些洗滌劑和化妝品也含有硼砂。
它也可以用作阻燃劑。
硼砂既可用作殺蟲劑,也可用作肥料。
硼砂用於維生素補充劑的生產。它是人體必需的重要化學物質。
它被鐵匠廣泛用於鍛焊過程中。
它也可以用作動物標本製作中的防腐劑。
它用於游泳池以維持其 pH 值。
這種化合物可用於製造牙齒美白產品和搪瓷釉。
硼砂用於玻璃、陶瓷和製陶的用途。
硼砂的影響
硼砂的四硼酸鈉十水合物形式毒性不大,美國環保署在 2006 年將其列為中等安全性的化學化合物。以下是使用硼砂帶來的一些益處。
硼砂有助於預防關節炎。
它有助於治療舌頭疼痛和口腔及喉嚨腫脹。
它有助於治療眼睛紅腫。
它可以治癒尿路感染和月經問題。此外,它還有助於處理任何型別的子宮炎症。
它可以提高男性和女性的性慾。
它有助於癌症治療。
但是,硼砂也存在一些健康風險。長期接觸硼砂會導致腹瀉、嘔吐和噁心。長期接觸還會導致不育和癌症,這些問題只能透過控制硼砂的接觸量來治療。
結論
硼砂是一種水性化合物,易溶於水。硼砂的主要化學元素是硼,在元素週期表中用符號 B 表示。硼的原子序數和原子量分別為 5 和 10.81 amu。硼砂,也稱為四硼酸鈉,由於其抗真菌特性,非常有助於防止真菌。
常見問題
Q1. 硼砂是鹼還是酸?
答:硼砂是一種弱鹼,主要用於緩衝溶液和照相顯影。藉助各種強酸反應,可以從硼砂中提取硼酸。
Q2. 硼砂的 pH 值是多少?
答:硼砂也稱為四硼酸鈉十水合物,當溶解在水中時會水解生成硼酸和 OH- 離子。因此,其 pH 值約為 9.13。
Q3. 硼砂和小蘇打一樣嗎?
答:硼砂和小蘇打不一樣。硼砂被稱為四硼酸鈉,而小蘇打被稱為碳酸氫鈉。小蘇打的 pH 值為 8。
資料結構
網路
關係型資料庫管理系統
作業系統
Java
iOS
HTML
CSS
Android
Python
C 程式設計
C++
C#
MongoDB
MySQL
Javascript
PHP