用 python 生成樹的先序和中序遍歷程式
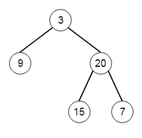
假設我們已經有了二叉樹的先序和中序遍歷。我們需要從這些序列中恢復整棵樹。所以如果先序和中序序列分別是 [3,9,20,15,7] 和 [9,3,15,20,7],那這棵樹將是:

我們來看一下具體步驟:
- 定義名為 buildTree() 的方法,這個方法將先序和中序遍歷序列作為引數。
- 如果中序遍歷列表不為空,則:
- root := 建立一個樹節點,其值為先序序列中第一個元素,並從先序遍歷中移除第一個元素。
- root_index := root 的值在中序列表中的索引。
- root 的左節點 := buildTree(preorder, inorder[從索引 0 到 root_index])。
- root 的右節點 := buildTree(preorder, inorder[從索引 root_index+1 到末尾])。
- return root。
讓我們來看一下以下實現來加深理解:
範例
class TreeNode: def __init__(self, data, left = None, right = None): self.data = data self.left = left self.right = right def print_tree(root): if root is not None: print_tree(root.left) print(root.data, end = ',') print_tree(root.right) class Solution(object): def buildTree(self, preorder, inorder): if inorder: root = TreeNode(preorder.pop(0)) root_index = inorder.index(root.data) root.left = self.buildTree(preorder,inorder[:root_index]) root.right = self.buildTree(preorder,inorder[root_index+1:]) return root ob1 = Solution() print_tree(ob1.buildTree([3,9,20,15,7], [9,3,15,20,7]))
輸入
[3,9,20,15,7],[9,3,15,20,7]
輸出
9,3,15,20,7,
廣告
資料結構
網路
RDBMS
作業系統
Java
iOS
HTML
CSS
Android
Python
C 程式設計
C++
C#
MongoDB
MySQL
Javascript
PHP