Python 中從先序遍歷構造二叉搜尋樹
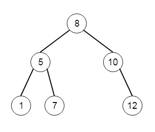
假設我們必須建立一個與給定先序遍歷匹配的二叉搜尋樹。因此,如果先序遍歷類似於 [8,5,1,7,10,12],則輸出將為 [8,5,10,1,7,null,12],因此樹將為 -

為了解決這個問題,我們將遵循以下步驟 -
- root := 先序遍歷列表的第 0 個節點
- stack := 一個棧,並將根節點壓入棧中
- 對於先序列表的第二個元素開始的每個元素 i
- i := 一個值為 i 的節點
- 如果 i 的值 < 棧頂元素的值,則
- 棧頂節點的左子節點 := i
- 將 i 插入到棧中
- 否則
- 當棧不為空,且棧頂元素的值 < i 的值時
- last := 棧頂
- 從棧中彈出元素
- 最後一個節點的右子節點 := i
- 將 i 插入到棧中
- 當棧不為空,且棧頂元素的值 < i 的值時
- 返回根節點
讓我們看看以下實現以更好地理解 -
示例
class Solution(object): def bstFromPreorder(self, preorder): """ :type preorder: List[int] :rtype: TreeNode """ root = TreeNode(preorder[0]) stack = [root] for i in preorder[1:]: i = TreeNode(i) if i.val<stack[-1].val: stack[-1].left = i stack.append(i) else: while stack and stack[-1].val<i.val: last = stack.pop(-1) last.right = i stack.append(i) return root
輸入
[8,5,1,7,10,12]
輸出
[8,5,10,1,7,null,12]
廣告
資料結構
網路
關係型資料庫管理系統
作業系統
Java
iOS
HTML
CSS
Android
Python
C 語言程式設計
C++
C#
MongoDB
MySQL
Javascript
PHP