使用 Python 判斷兩個表示式樹是否等價的程式
假設,我們得到了兩棵表示式樹。我們需要編寫一個程式來檢查這兩棵表示式樹,並確定它們是否生成相同的值。這兩棵表示式樹以中序方式提供給我們,如果它們匹配,則返回 True 值,否則返回 False 值。
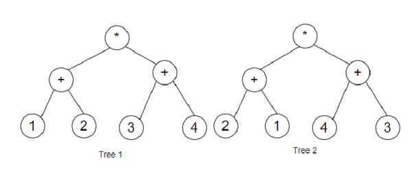
因此,如果輸入類似於

那麼輸出將是 True。
這兩棵表示式樹計算出的值相同。
為了解決這個問題,我們將遵循以下步驟
定義一個函式 dfs()。它將接收節點和字典作為引數。
如果節點為空,則
返回。
如果節點的左子節點和右子節點不為空,則
dic[節點的值] := dic[節點的值] + 1
dfs(節點的左子節點, dic)
dfs(節點的右子節點, dic)
dic1 := 一個包含整數的新對映
dic2 := 一個包含整數的新對映
dfs(root1, dic1)
dfs(root2, dic2)
如果 dic1 與 dic2 相同,則返回 True。
示例
import collections class TreeNode: def __init__(self, val=0, left=None, right=None): self.val = val self.left = left self.right = right def insert(temp,data): que = [] que.append(temp) while (len(que)): temp = que[0] que.pop(0) if (not temp.left): if data is not None: temp.left = TreeNode(data) else: temp.left = TreeNode(0) break else: que.append(temp.left) if (not temp.right): if data is not None: temp.right = TreeNode(data) else: temp.right = TreeNode(0) break else: que.append(temp.right) def make_tree(elements): Tree = TreeNode(elements[0]) for element in elements[1:]: insert(Tree, element) return Tree def solve(root1, root2): dic1 = collections.defaultdict(int) dic2 = collections.defaultdict(int) def dfs(node, dic): if not node: return if not node.left and not node.right: dic[node.val] += 1 dfs(node.left, dic) dfs(node.right, dic) dfs(root1, dic1) dfs(root2, dic2) return dic1 == dic2 root1 = make_tree([1, '+', 2, '*', 3, '+', 4 ]) root2 = make_tree([2, '+', 1, '*', 4, '+', 3]) print(solve(root1, root2))
輸入
root1 = make_tree([1, '+', 2, '*', 3, '+', 4 ]) root2 = make_tree([2, '+', 1, '*', 4, '+', 3])
輸出
True
廣告
資料結構
網路
關係資料庫管理系統
作業系統
Java
iOS
HTML
CSS
Android
Python
C 語言程式設計
C++
C#
MongoDB
MySQL
Javascript
PHP