Python實現最小成本葉值樹
假設我們有一個正整數陣列arr,考慮所有滿足以下條件的二叉樹:
- 每個節點要麼有0個子節點,要麼有2個子節點;
- 陣列arr的值對應於樹的中序遍歷中每個葉子的值。
- 每個非葉子節點的值等於其左右子樹中最大葉節點值的乘積。
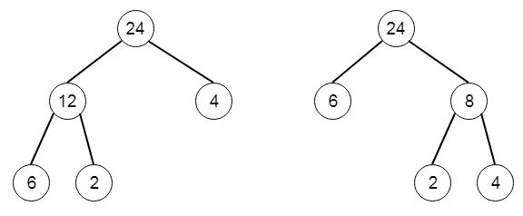
在所有可能的二叉樹中,我們必須找到每個非葉子節點值可能的最小總和。例如,如果輸入arr為[6,2,4],則輸出為32,因為可能有兩種樹:

為了解決這個問題,我們將遵循以下步驟:
- 建立一個名為memo的對映
- 定義一個名為dp()的方法,它將i和j作為引數。它的工作原理如下:
- 如果j <= i,則返回0
- 如果(i, j)在memo中,則返回memo[(i, j)]
- res := 無窮大
- 對於k從i到j – 1的範圍
- res := res,dp(i, k) + dp(k + 1, j) + (arr從索引i到k + 1子陣列的最大值) * (arr從k + 1到j + 1子陣列的最大值)的最小值
- memo[(i, j)] := res
- 返回memo[(i, j)]
- 主方法將呼叫此dp()方法,方法如下:呼叫dp(0, arr的長度 - 1)
讓我們來看下面的實現來更好地理解:
示例
class Solution(object):
def mctFromLeafValues(self, arr):
"""
:type arr: List[int]
:rtype: int
"""
self. memo = {}
def dp(i,j):
if j<=i:
return 0
if (i,j) in self.memo:
return self.memo[(i,j)]
res = float('inf')
for k in range(i,j):
res = min(res,dp(i,k) + dp(k+1,j) + (max(arr[i:k+1])*max(arr[k+1:j+1])))
self.memo[(i,j)]=res
return self.memo[(i,j)]
return dp(0,len(arr)-1)輸入
[6,2,4]
輸出
32
廣告
資料結構
網路
關係資料庫管理系統 (RDBMS)
作業系統
Java
iOS
HTML
CSS
Android
Python
C語言程式設計
C++
C#
MongoDB
MySQL
Javascript
PHP