氫硼化氧化反應
簡介
氫硼化氧化是一種使C-N、C-C和C-O雙鍵與氫-硼鍵加成的方法。炔烴的水合是生產酮和醛的簡單方法之一。人們可以將氫硼化氧化過程的機理視為一種反馬氏規則反應。
氫硼化-氧化反應最早由出生於英國的美國化學家赫伯特·查爾斯·布朗在20世紀50年代後期記錄。在這個過程中,炔烴先與硼烷反應,然後用過氧化物(鹼性)氧化,生成烯醇,烯醇然後迅速轉化為酮或醛。
什麼是氫硼化氧化反應?
氫硼化氧化是有機化學反應,用於烯烴的氧化。它透過一個兩步過程完成,包括氧化和氫硼化步驟。它透過淨加水(在整個雙鍵上)來實現。例如,當丙烯進行氫硼化-氧化並生成丙醇-1時,三烷基硼作為副產物生成。

氫硼化-氧化反應的例子。
氫硼化氧化反應機理。
氫硼化氧化反應的機理是反馬氏規則反應,其中羥基與與其他碳相比取代程度較低的碳結合。該方法從將硼烷以BH3的形式新增到指定的雙鍵開始。
當BH3沿著烯烴的碳-碳雙鍵新增時,會形成有機硼衍生物。這種有機硼衍生物在鹼性介質(如NaOH)中與過氧化氫反應,並透過氧化轉化為醇。該反應的區域選擇性確保氫硼化產物遵循反馬氏規則。涉及的不同步驟為 -
步驟 1 - 親電進攻烯烴的雙鍵。

步驟 2 - NaOH使H2O2質子化。

步驟 3 - 去質子化的過氧化物陰離子加到有機硼上

步驟 4 - 有機硼化合物的重排。

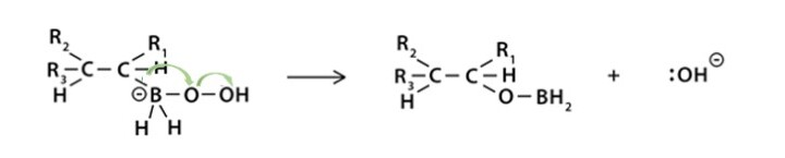
步驟 5 - 氫氧根離子的親核進攻。

步驟 6 - 生成的烷氧負離子的質子化。

氫硼化氧化的性質
這裡列出了一些性質 -
氫硼化過程是區域選擇性和立體專一性的。它進行順式加成並且是立體專一的。因此,它有利於同一側。
在縮合過渡態期間,C-H和C-B鍵同時形成。
區域選擇性受空間因素的影響甚至大於電子因素。硼烷將連線到取代度較低的碳上。
氫硼化反應的反馬氏規則機理的一個顯著特徵是,羥基環向取代度較低的碳原子加成。
與烯烴不同,炔烴在初始新增BH3後會繼續進行氫硼化。這是因為炔烴含有兩個鍵,每個鍵都可以與BH3相互作用。
當使用過氧化氫以外的不同氧化劑時,可以使用烯烴生成醇。
由於碳的電負性為2.55,而硼的電負性為2.04,因此C-C鍵具有相對較低的極性。
烷基-硼分子易於氧化。由於電負性較低,硼傾向於形成電子不足的化合物。
該反應不形成碳正離子。
烯烴和炔烴氫硼化是什麼意思?
烯烴氫硼化
在這種型別的反應中,提供的雙鍵首先與以BH3形式新增的硼烷反應。結果,一個氫原子轉移到與硼原子結合的碳原子旁邊的碳原子上。
在前面描述的氫硼化過程進行兩次迭代後,會產生三個仍然與起始BH3中的硼連線的烯烴。
當3個烯烴新增到硼烷中時,產生的物質稱為三烷基硼。
現在,使用過氧化氫和鹼來處理這種三烷基硼。結果,碳-OH基團相互作用取代了硼-碳相互作用。還觀察到硼轉化為硼酸。

烯烴氫硼化-氧化反應
前面詳細描述了烯烴氫硼化的逐步機理。
炔烴氫硼化
與烯烴不同,炔烴在初始新增BH3後會繼續進行氫硼化。
這是基於這樣一個事實:炔烴包含兩個鍵,每個鍵都可以與BH3相互作用。末端炔烴易於發生氫硼化。此外,這以反馬氏規則的方式進行。
由於受阻程度較低,阻礙最小的碳原子以及取代度最低的碳原子成為硼原子的首要目標。為了使反應僅在與硼烷階段連線的烯基基團處終止,必須使用大量的硼烷。
如果僅使用炔烴,則僅使用硼烷會導致炔烴的每個π鍵都發生氫硼化。
機理
第一步 - 該過程的氧化階段從烷基硼(同時具有OH基團和烯烴基團)生成醇開始。
第二步 - 這種氧化是由於在鹼性溶液中發生的氫氧根反應而發生的。現在,由於這種醇發生了互變異構,因此形成了穩定的醛形式。

炔烴氫硼化-氧化機理。
將氫硼化氧化反應轉化為哪種過程?
氫硼化氧化過程有助於從稱為末端炔烴的物質中生成具有精確碳原子數的醛。烯醇是第一個副產物,它會迅速轉化為醛。
氫硼化氧化反應的應用
醇的製備是氫硼化氧化的主要用途。
使用稱為氫硼化的過程,炔烴轉化為醛,烯烴轉化為中性醇。
以下列出了氫硼化氧化反應產生的一些化合物
甲基丙烯生成甲基丙醇。

己烷生成己醇。

甲基環己烯生成甲基環己醇。

所有這些反應都會產生羥基硼烷作為副產物。
結論
在有機化學中,H-B和C-C鍵之間的關係研究稱為氫硼化。氫硼化過程將炔烴轉化為醛,將烯烴轉化為中性醇。它具有立體專一性和區域選擇性才能進行氫硼化過程。
常見問題
1. 為什麼氫硼化氧化需要THF?
在THF的混合物中,硼烷以弱的路易斯酸鹼物質存在。這使得試劑更持久,並使硼獲得八隅體。
2. 氫硼化使用哪種催化劑?
據信,銠催化的氫硼化反應會發生。
3. BH3起還原劑的作用嗎?
是的,在酯、醯胺和其他官能團存在下,硼烷常用於還原羧酸。
4. BH3是親核試劑還是親電試劑?
BH3中沒有富電子中心。空的p軌道使它成為親電試劑。
5. 氫硼化氧化是什麼型別的反應?
它主要由兩步加成水合反應組成。這些過程中的兩個是氧化和氫硼化。
資料結構
網路
關係型資料庫管理系統
作業系統
Java
iOS
HTML
CSS
Android
Python
C 程式設計
C++
C#
MongoDB
MySQL
Javascript
PHP