斯維恩氧化反應
介紹
氧化反應指的是一種化學反應,當物質趨向於與氧元素靠近時就會發生。然而,當存在氧以外的氧化劑時,反應也會發生。氧化的結果是合成各種有機化合物。此外,這種反應會導致形成各種新的官能團,並傾向於改變預先存在的結構。
什麼是斯維恩氧化反應?
斯維恩氧化反應指的是一種重要的氧化過程,它傾向於避免使用各種金屬,例如鉻。該反應在溫和條件下進行,與其他氧化反應相比具有優勢。

圖 1 - 斯維恩氧化反應
這是一種有機反應,使用草醯氯作為有機鹼。其中二甲亞碸參與了伯醇和仲醇與醛和酮相關的氧化反應。然而,可以注意到,在這種情況下,醛不會進行進一步的反應。在氧化過程中,逐漸形成羧酸。這種反應稱為氧化還原反應。
該反應是由著名的美國化學家丹尼爾·斯維恩發現的。上面影像中給出了斯維恩氧化反應的一個例子,該影像顯示了 DMSO 或二甲亞碸。
形成的副產物
這種氧化反應非常受歡迎,因為它對各種官能團具有廣泛的耐受性。隨著反應的進行,會形成某些副產物,包括以下內容。
二甲硫醚($\mathrm{Me_{2}S}$,也稱為 DMS)
三乙胺鹽酸鹽 $\mathrm{Et_{3}NHCl}$
二氧化碳或 $\mathrm{CO_{2}}$
一氧化碳或 CO
在給定的副產物中,一氧化碳和二甲硫醚這兩種產物都被認為是非常危險的。這是因為一氧化碳被認為是劇毒的,如果人吸入它可能會導致影響。它進入血液,從而產生對組織非常有害的碳氧血紅蛋白。另一方面,二甲硫醚在性質上具有很高的揮發性,導致產生強烈的臭味。
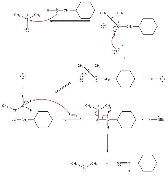
斯維恩氧化反應的機理
斯維恩氧化反應的機理及其影像如下所示。第一步考慮在 60o C 下反應物(即具有共振支援結構的二甲亞碸分子)與草醯氯之間的反應。這傾向於迅速分解,導致形成副產物。

圖 2 - 斯維恩氧化反應機理 (a)
第二步顯示醇在氯(二甲基)硫鎓氯化物反應中的新增。這導致形成一氧化碳和二氧化碳作為副產物。

圖 3 - 斯維恩氧化反應機理 (b)
下一步允許對作為中間體的烷氧基硫鎓離子進行去質子化。分解導致形成羰基化合物和二甲硫醚。這導致形成羰基化合物,但是四氫呋喃或 THF 最常作為這種反應中的溶劑。
斯維恩氧化反應的優點
斯維恩氧化反應中觀察到各種優點,其中最重要的是該反應不會進一步進行,因為會形成醛。即使在低溫下,反應也會進行,從而氧化醇。此外,該反應的條件非常溫和,因為它在 -78o C 下進行,並且通常認為需要丙酮或乾冰浴。
斯維恩氧化反應的缺點
儘管觀察到許多優點,但仍然存在某些缺點。其中第一個是二甲硫醚是一種有臭味的瓦斯,另一個是如果吸入,一氧化碳對人體有害。
斯維恩氧化反應的實驗室製備及其應用
斯維恩氧化反應可以在實驗室中進行,方法是遵循以下幾個步驟。第一步是在燒瓶中製備,燒瓶中裝有攪拌棒,然後活化 DMSO。這導致新增醇,然後新增鹼。但是,最後一步是後處理和純化。斯維恩氧化反應的應用因為它為合成化學家提供了獨特的特徵。
結論
在本教程中,深入探討了透過斯維恩氧化反應進行的整個過程。可以注意到,這是氧化伯醇和仲醇最合適的過程之一。但是,這種反應既有多個優點,也有缺點。主要的缺點是二甲硫醚的難聞氣味。
常見問題解答
1. 為什麼斯維恩氧化反應被稱為選擇性方法?
斯維恩氧化反應被稱為選擇性方法,因為它是在氧化 1o 或伯醇所需的流程之一。透過此過程,醇會轉化為醛。此外,斯維恩氧化化學反應在羰基團在反應中形成後會立即停止反應。但是,這種性質類似於其他存在的性質溫和的氧化劑,例如德斯-馬丁(DMP)氧化、吡啶鉻酸鹽(PDC)和吡啶氯鉻酸鹽(PCC)。
2. 斯維恩氧化反應中形成了哪些副產物?
斯維恩氧化反應會產生副產物。隨著反應的進行,包括二甲硫醚 (Me2S 或 DMS) 以及 CO 或一氧化碳、三乙胺鹽酸鹽 $\mathrm{(Et_{3}NHCl)}$ 和 $\mathrm{CO_{2}}$ 或二氧化碳。
3. 為什麼將這種化學反應稱為斯維恩氧化反應?
將這種化學反應稱為斯維恩氧化反應的原因是,該反應於 1978 年由兩位著名的化學家丹尼爾·斯維恩和村田健二首次發現。但是,在那次發現之後,這種反應被認為是氧化伯醇和仲醇最常用的策略。
資料結構
網路
關係型資料庫管理系統
作業系統
Java
iOS
HTML
CSS
Android
Python
C 語言程式設計
C++
C#
MongoDB
MySQL
Javascript
PHP