如何在R中建立分面散點圖,並根據分組列對應的數值調整X軸的刻度?
為了在R中建立分面散點圖,並根據分組列對應的數值調整X軸的刻度,我們可以按照以下步驟操作:
- 首先,建立一個至少包含一個分組列和兩個數值列的資料框。
- 根據分組列建立分面散點圖。
- 根據分組列建立分面散點圖,並使X軸刻度基於數值列中對應的值。
建立資料框
讓我們建立一個如下所示的資料框:
x<-rnorm(25)
y<-rnorm(25)
Group<-sample(c("I","II","III"),25,replace=TRUE)
df<-data.frame(x,y,Group)
df執行上述指令碼後,會生成以下輸出(由於隨機化,此輸出在您的系統上可能會有所不同):
x y Group 1 -0.06003068 -0.03152809 I 2 0.25623423 -1.29352676 II 3 1.33262053 -0.06087708 II 4 -0.36941067 0.74087833 III 5 -0.99569044 0.41905898 I 6 1.22503543 0.52395651 II 7 0.95275184 -0.28702197 I 8 0.84738322 1.36251099 II 9 -0.16882941 1.37360297 I 10 -0.10127204 4.08784173 II 11 1.16913642 0.07131399 III 12 -0.41072790 -0.97774893 II 13 -0.22731318 0.39041022 II 14 -1.32150070 -1.44081453 I 15 -1.42127302 0.16998612 II 16 0.51943412 1.28815309 III 17 0.02464822 0.52065734 I 18 -2.08735318 -0.20159059 I 19 -0.68489624 1.27413443 II 20 -0.41124316 -1.54678178 III 21 0.41159464 0.04313352 III 22 -0.08041443 0.13865832 III 23 -1.62382282 -0.41246075 II 24 1.03445779 -0.59183981 I 25 -0.57874560 1.17858206 II
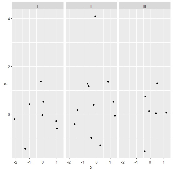
建立分面散點圖
使用ggplot2包的facet_grid函式建立分面散點圖:
x<-rnorm(25)
y<-rnorm(25)
Group<-sample(c("I","II","III"),25,replace=TRUE)
df<-data.frame(x,y,Group)
library(ggplot2)
ggplot(df,aes(x,y))+geom_point()+facet_grid(~Group)輸出

建立X軸值基於分組數值的分面散點圖
使用ggplot2包的facet_grid函式建立分面散點圖,並將scales引數設定為free,如下所示:
x<-rnorm(25)
y<-rnorm(25)
Group<-sample(c("I","II","III"),25,replace=TRUE)
df<-data.frame(x,y,Group)
library(ggplot2)
ggplot(df,aes(x,y))+geom_point()+facet_grid(~Group,scales="free")輸出

廣告
資料結構
網路
關係型資料庫管理系統
作業系統
Java
iOS
HTML
CSS
Android
Python
C語言程式設計
C++
C#
MongoDB
MySQL
Javascript
PHP