如何在 R 中使用 ggplot2 為組級別建立不同的 Y 軸?
如果有一個分類變數或組變數,那麼我們可能需要為每個類別或級別建立一個折線圖,這將有助於我們理解單個圖表中多級範圍。為此,我們可以使用 ggplot2 包的 facet_grid 函式,如下例所示。
示例
考慮下列資料框
> x<-sample(LETTERS[1:4],20,replace=TRUE) > y<-rnorm(20) > df<-data.frame(x,y) > df
輸出
x y 1 C -1.55668689 2 A 2.41399136 3 D -0.78520253 4 A -0.43092594 5 C 1.94379390 6 A 0.17494763 7 C -1.61170476 8 A -1.55362764 9 C -0.53384492 10 A -0.66698812 11 D 1.44100518 12 D 1.10126743 13 D -1.54194367 14 B -0.03254252 15 A -0.63927406 16 A 1.72924629 17 A -0.10003278 18 B -0.08262660 19 C 1.29335456 20 A -1.50531507
載入 ggplot2 包併為 x 中的每個級別建立一個折線圖
示例
> library(ggplot2) > ggplot(df,aes(x,y))+geom_line()
輸出

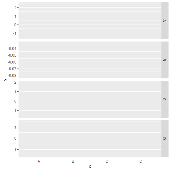
為 x 的每個級別建立一個折線圖,但其 Y 軸的刻度不同,R 將基於給定資料自由選擇
示例
> ggplot(df,aes(x,y))+geom_line()+facet_grid(x~.,scales="free")
輸出

廣告
資料結構
網路
RDBMS
作業系統
Java
iOS
HTML
CSS
Android
Python
C 程式設計
C++
C#
MongoDB
MySQL
Javascript
PHP