如何在 R 中用更大尺寸的離群值建立箱線圖?
當我們為包含異常值的一列 R 資料幀建立箱線圖時,這些值的點預設情況下較小。如果要增大這些異常點的點,則可以在 ggplto2 軟體包的 geom_boxplot 函式內使用 outlier.size 引數。
考慮以下資料幀 −
示例
set.seed(1231) x<-sample(LETTERS[1:4],20,replace=TRUE) y<-c(rnorm(19,5,1),10) df<-data.frame(x,y) df
輸出
x y 1 B 5.983562 2 A 4.571819 3 D 6.110019 4 A 4.074785 5 A 6.034136 6 B 5.351433 7 C 4.596340 8 C 3.375895 9 D 4.849060 10 A 4.723585 11 B 5.406556 12 A 6.254387 13 B 6.408786 14 C 5.386244 15 D 4.215608 16 A 4.576638 17 B 5.688985 18 B 3.839879 19 C 5.914120 20 B 10.000000
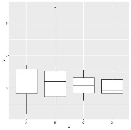
載入 ggplot2 軟體包並基於 x 中的類別為 y 值建立箱線圖,異常值預設大小 −
示例
library(ggplot2) ggplot(df,aes(x,y,col=x))+geom_boxplot()
輸出

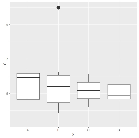
建立異常值尺寸較大的箱線圖 −
示例
ggplot(df,aes(x,y))+geom_boxplot(outlier.size=5)
輸出

廣告
資料結構
網路
RDBMS
作業系統
Java
iOS
HTML
CSS
Android
Python
C 程式設計
C++
C#
MongoDB
MySQL
Javascript
PHP