如何在理論計算機科學(TOC)中將有限自動機(FA)轉換為左線性文法?
如果一個文法的產生式右側最多隻有一個變數,則稱為線性文法。
以下是一個線性文法的示例:
S→aSb/ε
在這裡,如果你觀察,我們可以透過劃分……來寫相同的產生式。
S→Ab
A→aAb
A→ε
左線性文法
如果一個文法的產生式右側所有非終結符都位於最左側,則稱為左線性文法。
例如:
A→Sa/ε
轉換步驟
將有限自動機(FA)轉換為左線性文法的步驟如下:
步驟 1 - 取有限自動機的逆
步驟 2 - 寫出右線性文法
步驟 3 - 然後取右線性文法的逆
步驟 4 - 最後,你將得到左線性文法
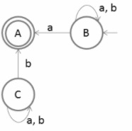
考慮如下所示的有限自動機:

將最終狀態作為初始狀態,將初始狀態作為最終狀態,如下所示:

現在移除不可達狀態,如下所示:

移除不可達狀態後,狀態轉換圖不是確定性有限自動機(DFA),因為狀態 A 沒有輸出符號,而狀態 B 在符號“a”上有兩個輸出。
因此,結果圖看起來像非確定性有限自動機(NFA)。
首先,為最終狀態轉換圖生成右線性文法:
B→aA/aB/bB
A→ε
現在反轉右線性文法以生成左線性文法:
B → Ba/Bb/Aa
A→ε
廣告
資料結構
網路
關係資料庫管理系統
作業系統
Java
iOS
HTML
CSS
Android
Python
C 語言程式設計
C++
C#
MongoDB
MySQL
Javascript
PHP