霍夫曼重排反應機理
介紹
奧古斯特·威廉·馮·霍夫曼發現了霍夫曼重排反應機理。它也稱為霍夫曼降解反應或重排反應,因為形成的胺比反應中使用的試劑少一個碳原子。該反應用於由醯胺製備伯胺和芳香胺。該反應在溴和強鹼氫氧化鈉或氫氧化鉀存在下進行。該反應得到胺和芳香胺的最高產率,但要獲得最佳的脂肪胺產率,醯胺的碳原子數應少於八個。該反應形成的產物是伯胺,不含仲胺和叔胺雜質。
霍夫曼重排反應機理 - 簡介
在這個反應中,醯胺用溴和強鹼(即氫氧化鈉和氫氧化鉀)的水溶液處理。加熱後,醯胺被氫氧根基團攻擊,然後溴化物與醯胺連線,透過水解,在這個反應中形成伯胺。其他產物是碳酸鈉、溴化鈉和水。透過該反應形成的胺總是比母體醯胺少一個碳原子。由於醯胺被還原為碳原子數較少的胺,因此該反應也稱為霍夫曼降解反應。
$$\mathrm{R-CO-NH_2+Br_2+4NaOH\rightarrow R-NH_2+Na_2CO_3+2NaBr+2H_2O\ \:\:醯胺\:\:\:\:\:\:\:\:\:\:\:\:\:\:\:\:\:\:\:\:伯胺}$$
機理示例
霍夫曼重排反應機理在許多反應中都有體現。以下是一些該反應的示例。
| 霍夫曼重排反應事實 | |
|---|---|
| 反應命名者 | 奧古斯特·威廉·馮·霍夫曼 |
| 反應型別 | 重排反應、降解反應。 |
| 使用的試劑 | 醯胺 |
| 形成的產物 | 伯胺 |
| 介質 | 溴和強鹼水溶液。 |
| 霍夫曼重排反應步驟 | 氮的溴化、氫分子的去除、陰離子的重排,然後是水解。 |
由乙醯胺製備甲胺:在這個反應中,乙醯胺在溴和氫氧化鈉存在下處理,乙醯胺降解成甲胺,其他產物為碳酸鈉、溴化鈉和水。

由苯甲醯胺製備苯胺:苯胺也可以透過霍夫曼重排反應製備。在這個反應中,苯甲醯胺與溴和氫氧化鉀反應生成苯胺、碳酸鉀、溴化鉀和水。

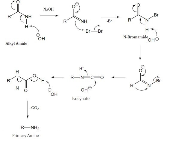
霍夫曼重排反應機理步驟
該反應的步驟如下:
第一步,醯胺與氫氧根基團反應,胺基團釋放出一個氫原子形成一個水分子。氫的去除在氮上產生負電荷。
第二步是反應中產生的極性溴,溴的正部分與醯胺的氮連線形成 R-CO-NHBr。
再次,醯胺的去質子化發生,與醯胺基團相連的氫被去除,在氮上產生負電荷,並形成溴醯胺陰離子 R-CO-N-Br。
現在,氮的負電荷試圖與碳形成鍵,在這個階段,氧拉動其電子並將其送回碳。透過這種方式,烷基從碳上脫離,形成 CO-N-Br 和 R-。
帶負電荷的烷基攻擊氮並與氮連線,溴從氮原子去除並形成異氰酸酯 C+O-NR。
烷基的重排存在立體化學,烷基並不從胺上脫離,而是以某種方式分子內或我們可以說透過橋狀過渡態與試劑保持連線。
下一步,水分子攻擊碳並與其連線,水分子的氫攻擊氮原子並與其連線。
水分子的第二個氫也連線到氮上。
現在,碳有兩個氧,由於熱力學焓,碳形成二氧化碳並從胺基團的氮上釋放出來,形成產物烷基胺、碳酸鈉和水。

霍夫曼重排反應機理
霍夫曼重排反應的應用
霍夫曼重排反應有各種應用。以下列出了一些:
霍夫曼反應用於由鄰苯二甲酸酐和尿素製備鄰氨基苯甲酸。中間產物為鄰苯二甲醯亞胺,與氫氧化鉀和溴反應生成鄰氨基苯甲酸。

該反應用於製備伯胺和芳基胺。

透過霍夫曼降解,異惡唑-4,5-羧醯胺形成異氰酸酯基團,然後透過與羧基反應轉化為尿嘧啶。

煙醯胺透過霍夫曼重排反應轉化為3-氨基吡啶。在這個反應中,煙醯胺在70°C下在溴和氫氧化鈉水溶液存在下加熱。如果用吸濾器收集,則形成的3-氨基吡啶產物具有吸溼性。

結論
霍夫曼重排反應機理是我們可以透過它製備伯胺和芳基胺的反應。在這個機理中,醯胺在溴存在下與強鹼反應。反應中製備的胺不含其他仲胺和叔胺雜質。在這個反應中,醯胺與強鹼反應並釋放水,然後與溴反應,形成次溴酸鈉,次溴酸鈉重排後形成異氰酸酯作為中間體。這個異氰酸酯透過水解生成伯胺和鹼的碳酸鹽。
常見問題
1. 在霍夫曼重排反應機理中,使用了多少個溴原子?
在霍夫曼重排反應的總反應中,只使用了一個溴原子,它形成 N-溴醯胺 R-CO-NHBr。
2. 為什麼霍夫曼重排反應機理也稱為霍夫曼重排?
在這個反應機理中,連線到醯胺基團的烷基改變了其位置,從羧基轉移到氮原子,形成 N-烷基異氰酸酯 R-N=C=O,然後水解後形成氨基甲酸,轉化為最終產物胺。這就是為什麼這個反應也稱為霍夫曼重排。
3. 命名一些與霍夫曼降解反應類似的反應。
有一些反應遵循同樣的路線,由醯胺形成胺,它們是洛森重排、柯蒂斯重排和施密特重排,在這些反應中,羧酸基團轉化為異氰酸酯基團,由醯胺形成胺。
4. 透過霍夫曼反應制備的鄰氨基苯甲酸有哪些用途?
由鄰苯二甲酸和尿素製備的鄰氨基苯甲酸在染料的商業製備和糖精的合成中使用。鄰氨基苯甲酸的酯用於製備香水、藥物和作為腐蝕抑制劑。
5. 在霍夫曼降解反應中,水分子加到異氰酸酯上形成氨基甲酸是什麼型別的反應?
在霍夫曼重排降解反應中,水分子加到異氰酸酯基團上是親核加成反應。
資料結構
網路
關係資料庫管理系統 (RDBMS)
作業系統
Java
iOS
HTML
CSS
Android
Python
C語言程式設計
C++
C#
MongoDB
MySQL
Javascript
PHP