在 C++ 中查詢重複子樹
假設我們有一棵二叉樹。我們必須找到所有重複的子樹。因此,對於每種重複的子樹,我們都必須返回其中任何一個的根節點。假設我們有一棵這樣的樹 −

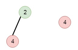
重複的子樹是 −

為解決此問題,我們將按照以下步驟操作 −
- 建立一個數組 ret,繪製一個對映 m
- 定義一個遞迴方法 solve()。這將以 node 作為輸入。它的工作方式如下 −
- 如果 node 為空,則返回 -1
- x := node 的值表示為字串,然後在後面連線 “#” 。
- left := node 的左側解決,right := node 的右側解決
- x :=x 連線 “#” 連線 left,連線 “#” 連線 right
- m[x] 增加 1
- 如果 m[x] 為 2,則將 node 插入到 ret 中
- 返回 x
- 從主方法呼叫 solve(root) 並返回 ret
讓我們看看以下實現,以更好地理解 −
示例
#include <bits/stdc++.h>
using namespace std;
class TreeNode{
public:
int val;
TreeNode *left, *right;
TreeNode(int data){
val = data;
left = right = NULL;
}
};
void insert(TreeNode **root, int val){
queue<TreeNode*> q;
q.push(*root);
while(q.size()){
TreeNode *temp = q.front();
q.pop();
if(!temp->left){
if(val != NULL)
temp->left = new TreeNode(val);
else
temp->left = new TreeNode(0);
return;
} else {
q.push(temp->left);
}
if(!temp->right){
if(val != NULL)
temp->right = new TreeNode(val);
else
temp->right = new TreeNode(0);
return;
} else {
q.push(temp->right);
}
}
}
TreeNode *make_tree(vector<int> v){
TreeNode *root = new TreeNode(v[0]);
for(int i = 1; i<v.size(); i++){
insert(&root, v[i]);
}
return root;
}
void tree_level_trav(TreeNode*root){
if (root == NULL) return;
cout << "[";
queue<TreeNode *> q;
TreeNode *curr;
q.push(root);
q.push(NULL);
while (q.size() > 1) {
curr = q.front();
q.pop();
if (curr == NULL){
q.push(NULL);
} else {
if(curr->left)
q.push(curr->left);
if(curr->right)
q.push(curr->right);
if(curr->val == 0 || curr == NULL){
cout << "null" << ", ";
} else {
cout << curr->val << ", ";
}
}
}
cout << "]"<<endl;
}
class Solution {
public:
vector <TreeNode*> ret;
map <string, int> m;
string solve(TreeNode* node){
if(!node || node->val == 0){
return "-1";
}
string x = to_string(node->val);
x += "#";
string left = solve(node->left);
string right = solve(node->right);
x = x + "#" + left + "#" + right;
m[x]++;
if(m[x] == 2){
ret.push_back(node);
}
return x;
}
vector<TreeNode*> findDuplicateSubtrees(TreeNode* root) {
ret.clear();
m.clear();
solve(root);
return ret;
}
};
main(){
vector<int> v = {1,2,3,4,NULL,2,4,NULL,NULL,NULL,NULL,4};
Solution ob;
TreeNode *root = make_tree(v);
vector<TreeNode*> trees = ob.findDuplicateSubtrees(root);
for(TreeNode *t : trees){
tree_level_trav(t);
}
}輸入
[1,2,3,4,null,2,4,null,null,null,null,4]
輸出
[4, ] [2, 4, ]
廣告
資料結構
網路
RDBMS
作業系統
Java
iOS
HTML
CSS
Android
Python
C 程式設計
C++
C#
MongoDB
MySQL
Javascript
PHP