查詢給定語法的規範分析表 (CLR) 或 LR(1) 分析表。\nS → CC\nC → c C | d
解決方案
步驟1 − 構造擴充文法
(0) S′ → S
(1) S → CC
(2) C → cC
(3) C → d.
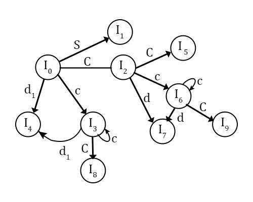
步驟2 − 查詢閉包和 goto 以構造 LR(1) 專案




在 I7、I8、I9 上應用 goto
在 I7、I8、I9 中,我們有產生式 C → d ∙,$,c → cC ∙,c | d 和 ∙ C → cC ∙,$,即點無法進一步移動。
因此,無法在 I7、I8、I9 上應用 goto。
繪製 DFA

首先,10 個狀態,即 I0 到 I9 將充當 DFA 的節點。
使用 goto 語句連線邊。例如,goto(I0, S) = I1
∴ 將有一條從 I0 到 I1 的邊,標記為 S。
類似地,透過檢視語法 LR(1) 專案中的所有 goto 語句來連線其他節點。
廣告
資料結構
網路
關係資料庫管理系統
作業系統
Java
iOS
HTML
CSS
Android
Python
C 語言程式設計
C++
C#
MongoDB
MySQL
Javascript
PHP