從資料結構中的最大堆中刪除
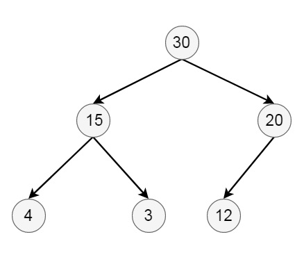
我們將在本文中瞭解如何從二叉最大堆資料結構中刪除元素。假設初始樹如下所示:

刪除演算法
delete(heap, n) − Begin if heap is empty, then exit else item := heap[1] last := heap[n] n := n – 1 for i := 1, j := 2, j <= n, set i := j and j := j * 2, do if j < n, then if heap[j] < heap[j + 1], then j := j + 1 end if if last >= heap[j], then break heap[i] := heap[j] done end if heap[i] := last End
示例
假設我們想要從最後一個堆中刪除 30:

廣告
資料結構
網路
關係型資料庫管理系統
作業系統
Java
iOS
HTML
CSS
Android
Python
C 程式設計
C++
C#
MongoDB
MySQL
JavaScript
PHP