C++ 程式計算前 n 個自然數的平方和?
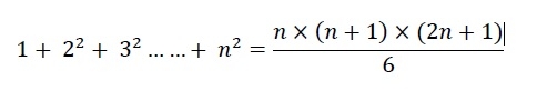
在這個問題中,我們將看到如何計算前 n 個自然數的平方和。這裡,我們使用了一個 for 迴圈,從 1 到 n。在每一步中,我們計算該項的平方,然後將其新增到和中。此程式需要 O(n) 時間才能完成。但如果我們想要在 O(1) 或恆定時間內解決此問題,我們可以使用以下級數公式 −

演算法
squareNNatural(n)
begin sum := 0 for i in range 1 to n, do sum := sum + i^2 done return sum end
示例
#include<iostream>
using namespace std;
long square_sum_n_natural(int n) {
long sum = 0;
for (int i = 1; i <= n; i++) {
sum += i * i; //square i and add it with sum
}
return sum;
}
main() {
int n;
cout << "Enter N: ";
cin >> n;
cout << "Result is: " << square_sum_n_natural(n);
}輸出
Enter N: 4 Result is: 30
廣告
資料結構
網路
關係型資料庫管理系統
作業系統
Java
iOS
HTML
CSS
Android
Python
C 程式設計
C++
C#
MongoDB
MySQL
Javascript
PHP