C/C++程式計算第n個卡塔蘭數?
卡塔蘭數是一個數列。卡塔蘭數構成一系列自然數,出現在各種計數問題中,通常涉及遞迴定義的物件。


Cn是長度為2n的Dyck詞的個數。Dyck詞是一個由n個X和n個Y組成的字串,其任何初始段的Y的個數都不超過X的個數。例如,以下是長度為6的Dyck詞:
XXXYYY XYXXYY XYXYXY XXYYXY XXYXYY.
將符號X重新解釋為左括號,將Y解釋為右括號,Cn計算包含n對正確匹配的括號的表示式的個數。
((())) ()(()) ()()() (())() (()())
Cn是n+1個因子可以完全括號化的不同方法的個數(或應用二元運算子的n種關聯方法的個數)。例如,對於n=3,我們有以下五種不同的四因子括號化方法:
((ab)c)d (a(bc))d (ab)(cd) a((bc)d) a(b(cd))
二元運算子的連續應用可以用滿二叉樹表示。(如果每個頂點要麼有兩個子節點,要麼沒有子節點,則根二叉樹是滿的。)因此,Cn是具有n+1個葉節點的滿二叉樹的個數。
示例
輸入 - 6
輸出- 1 1 2 5 14 42
解釋
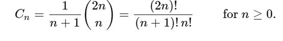
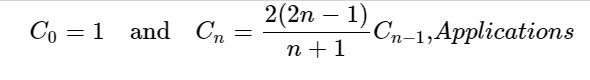
對於n = 0, 1, 2, 3, 4, 5, 6, 7, 8, 9, 10, ...,前幾個卡塔蘭數是:
1, 1, 2, 5, 14, 42, 132, 429, 1430, 4862,
示例
#include<iostream>
using namespace std;
long int catalan( int n) {
if (n <= 1){
return 1;
}
long int result = 0;
for (int i=0; i<n; i++){
result += catalan(i)*catalan(n-i-1);
}
return result;
}
int main(){
for (int i=0; i<6; i++)
cout << catalan(i) << " ";
return 0;
}輸出
1 1 2 5 14 42
廣告
資料結構
網路
關係資料庫管理系統 (RDBMS)
作業系統
Java
iOS
HTML
CSS
Android
Python
C語言程式設計
C++
C#
MongoDB
MySQL
Javascript
PHP