貝克曼重排
介紹
貝克曼重排是一種廣泛應用於將肟轉化為醯胺的反應。自發現以來,該反應的安全性和可行性已得到顯著改善。本研究重點關注貝克曼重排的發展及其如何被用於改進當前大量生產、易於獲得的分子合成,這些分子以前是使用昂貴、有毒且難以獲得的試劑製備的。
貝克曼重排是由科學家恩斯特·奧托·貝克曼於19世紀80年代中期發現的。該過程導致肟轉化為相應的醯胺,然後允許來自 C=N 鍵的氮原子插入 C 鏈中形成碳氮鍵。根據前體物質,它還可以從醛中生成腈。
什麼是貝克曼重排?
貝克曼重排是指將肟取代基轉化為取代醯胺的過程,以 1853 年至 1923 年在世的物理學家恩斯特·貝克曼的名字命名。該方法已成功用於重排硝酮和滷亞胺。內醯胺也來源於卡爾西胺和環狀肟。
儘管已發現幾種化學物質可以促進貝克曼重排,但通常使用酸來催化它。其中包括但不限於碘化三甲矽烷、亞硫醯氯、五氧化二磷和五氯化磷。雖然溶劑的適當選擇和反應條件可能會有利於一種產物的合成而不是另一種產物,有時甚至幾乎完全產生一種產物,但貝克曼斷裂是另一種通常與重排競爭的反應。酮肟和 N-Cl/N-F 亞胺對重排具有立體特異性,遷移基團與連線在 N 上的離去基團處於反式共平面。
據報道,肟的幾何構型在特定條件下會發生外消旋化,導致兩種區域異構體的合成。醛肟可以在氣相中立體特異性地重排,但在液相中則不能立體特異性地重排。醛肟可以通過幾種方法轉化為伯醯胺,但是,在這些體系中,斷裂通常勝過轉化。透過硝酮重排,醯胺 N 也在所得區域異構體中轉變為具有最大遷移潛力的分子,並且該反應也無立體特異性。
環己酮透過肟轉化為己內醯胺是經典的貝克曼重排。己內醯胺是生產尼龍 6 的原料。

乙酸、HCl 和乙酸酐構成了貝克曼溶液,該溶液常用於催化重排。還使用了其他酸,包括 H2SO4、HF 和多磷酸。用於商業內醯胺生產的最常見酸是 (NH4)2SO4,它是透過用 NH3 中和 H2SO4 製備的。硫酸銨是一種典型的農業肥料,可提供 N 和 S。
機理
貝克曼重排反應始於肟醇基的質子化。
由於醇基的質子化形成了一個更好的離去基團。
R 基團遷移到連線到離去基團的氮原子,並透過去除 H2O 分子生成碳正離子。
因此,碳正離子的形成發生在反式 1,2-遷移。
現在,一個水分子進攻碳正離子的碳原子,並透過去質子化和互變異構化生成最終的醯胺產物。


貝克曼重排的過程如下:
當環己酮與羥胺反應時,形成肟。
只有在烷基取代基“反式”轉變為 N 後,肟的羥基才會發生質子化。
同時,H2O 的去除也會斷裂 N-O 鍵。
隨後,發生異構化過程,導致胺的生成。
氰尿醯氯輔助的貝克曼重排反應
氰尿醯氯和氯化鋅可用作催化劑,使貝克曼重排反應成為催化反應。例如,環十二酮可以轉化為相應的內醯胺,它是生產尼龍 12 所需的單體。

在這個過程中,氰尿醯氯透過親核芳香取代啟用羥基,這取決於催化迴圈。中間體邁森海默絡合物去除產物並用新的反應物取代它。

貝克曼斷裂
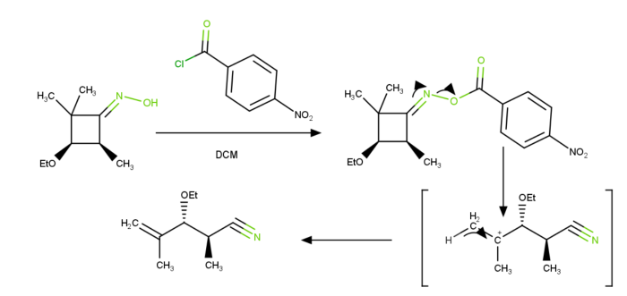
貝克曼斷裂是一種通常與貝克曼重排發生衝突的過程。當肟上的基團能夠穩定 C⁺ 的生成時,斷裂成為一種可行的反應途徑。在反應中,會生成氰化物和 C⁺,它們會迅速被截獲以生成多種其他化合物。在反應條件下,氰化物也可以水解生成 -COOH。不同的反應條件會使斷裂反應比重排反應更有可能發生。

透過超共軛穩定碳正離子的形成,季碳中心促進斷裂反應。如上圖所示,會生成“穩定的”碳正離子,然後失去氫原子以生成不飽和位點。透過分別形成酮和亞胺,O 和 N 原子也促進斷裂反應。

應用
以下是該反應在工業中的一些應用:
它用於合成撲熱息痛。透過使用羥胺將酮轉化為酮肟,實現了這種整合。
它主要用於生產各種類固醇和藥物化合物。
一些氯代雙環內醯胺可以透過貝克曼重排過程製備。
結論
可以得出結論,貝克曼重排是指將肟轉化為醯胺的反應。透過使用羥胺處理醛或酮,可以製備肟。這個過程稱為貝克曼重排。在某些酸性條件下,這種天然反應有助於將肟轉化為醯胺。醇基的質子化最終導致反應開始,形成所需的離去基團。R 基團從離去基團到氮的遷移導致碳正離子的形成,隨後是水分子的進入。水原子進攻碳正離子後,透過去質子化和互變異構化生成醯胺。
常見問題
Q1. 肟是如何製備的?
Ans. 肟可以透過使醛/酮與羥胺縮合來製備。羥胺和醛結合形成醛肟,羥胺和酮結合形成酮肟。肟通常以無色晶體的形式出現,並且在液體中溶解度差。
Q2. 碳正離子重排的原因是什麼?
Ans. 碳正離子重排是指碳正離子透過結構內各種結構重組“位移”從不穩定形式轉變為更穩定狀態的過程,這在有機化學中很常見。
Q3. 酮肟是如何工作的?
Ans. 肟的官能團是亞胺的 N 原子連線到羥基。分別由醛和酮生成的肟被稱為醛肟和酮肟。
Q4. 肟有什麼用途?
Ans. 肟被用作治療神經毒劑中毒的解毒劑。己內醯胺是一種有機分子,它是尼龍 6 這種聚合物的底物,它是使用肟製備的。
Q5. 縮醛和縮酮是如何合成的?
Ans. 在無水條件和酸催化劑存在下,羰基與醇(如甲醇或乙醇)反應生成縮酮和縮醛。雖然可以使用許多不同的醇來製備縮醛和縮酮,但乙醇可能是最常用的醇。
資料結構
網路
關係資料庫管理系統
作業系統
Java
iOS
HTML
CSS
Android
Python
C語言程式設計
C++
C#
MongoDB
MySQL
Javascript
PHP