資料庫中的N元關係
關係是任何實體關係圖中的重要組成部分,因為它顯示了兩個不同實體之間的關係。在n元關係中,n表示關係中實體的數量。它可以是任何數字,但最常見的關係是一元、二元和三元關係,其中實體的數量分別為一、二和三。
關於一元、二元和三元關係的更多資訊如下:
一元關係
當相同型別兩個實體之間存在關係時,稱為一元關係或遞迴關係。這意味著關係存在於相同實體型別的不同例項之間。一元關係的一些示例如下所示:
一對一的一元關係
一個人一次只能與一個人結婚。因此,這是實體“人”與自身之間的遞迴關係。這是一個一對一的遞迴關係,因為一個人與一個人結婚。
一對多的一元關係
一名員工可以監督多名員工。因此,這是實體“員工”與自身之間的遞迴關係。這是一個一對多的遞迴關係,因為一名員工監督多名員工。
二元關係
當兩個不同實體之間存在關係時,稱為二元關係。二元關係的一些示例如下所示:
一對一的二元關係
每位員工只有一張身份證。因此,這是一個一對一的二元關係,其中1名員工有1張身份證。
多對一的二元關係
許多員工在一個部門工作。因此,這是一個多對一的二元關係,其中許多員工在一個部門工作。
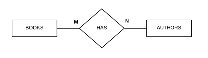
多對多的二元關係
一本書可以有多個作者,或者多位作者可以合寫一本書。因此,書籍和作者之間存在多對多的關係,因為許多書有許多作者。
三元關係
當三個不同實體之間存在關係時,稱為三元關係。三元關係的一個示例如下所示:
在這個例子中,醫生、病人和藥物之間存在三元關係。
廣告
資料結構
網路
關係資料庫管理系統 (RDBMS)
作業系統
Java
iOS
HTML
CSS
Android
Python
C語言程式設計
C++
C#
MongoDB
MySQL
Javascript
PHP