什麼是東莨菪鹼及其作用?
生物鹼是一類源自植物的有機化合物,它們天然存在,是含有鹼性氮原子的化合物。許多植物和動物,以及真菌和細菌等生物都能產生生物鹼。Meissner博士是第一個創造“生物鹼”這一術語並確定茄科植物鹼性的人。
生物鹼是一類天然存在的鹼性含氮化合物。它們可以源於植物和動物。它們對人體具有強大的生理作用,並且很容易在其商品名中被識別出來。例如,阿托品、麻黃鹼或尼古丁,每個藥物名稱都以“ine”結尾。

東莨菪鹼就是這樣一種生物鹼,它來源於一種名為莨菪的茄科植物。它具有藥用特性,既可以作為藥物使用,也可以作為毒藥使用。
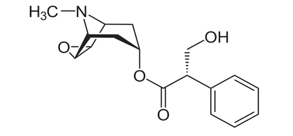
這種東莨菪鹼生物鹼也稱為莨菪鹼,它可以從曼陀羅或黑天仙子植物中提取。它由植物合成,並從樹皮、葉子和其他部位提取。它被廣泛用作藥物。東莨菪鹼由馬爾堡的Schmidt發現。其化學式為C₁₇H₂₁NO₄。

東莨菪鹼生物鹼的用途
東莨菪鹼是一種強效藥物,用於預防暈動病,控制手術過程中的噁心和嘔吐以及麻醉後恢復期。莨菪鹼於1947年首次用於控制術後噁心和嘔吐。它還有助於控制或治療暈船,因此被水手和潛水員廣泛使用。
世界衛生組織將其列入基本藥物清單。這種藥物可以透過口服、皮膚貼劑、靜脈注射、肌內注射和滴眼液以及皮下注射等方式給藥。

注意事項
長期使用這種藥物可能會導致許多副作用。服用東莨菪鹼的人會感到煩躁不安、出汗、皮疹、心律不齊、體溫升高、視力模糊、肌肉無力、嗜睡和瞳孔放大。觀察到腸胃、心臟、肝臟和腎臟功能發生相當大的變化。
長期使用的副作用
建議老年人、青光眼患者、腸梗阻患者和孕婦在使用前採取預防措施,並確定這種藥物的生理優缺點。
任何藥物都可能因使用或濫用而有益或致命。同樣的植物提取物,根據用途的不同,可以治癒也可以傷害。因此,在使用此類藥物之前,必須進行適當的指導和護理。
廣告
資料結構
網路
關係資料庫管理系統 (RDBMS)
作業系統
Java
iOS
HTML
CSS
Android
Python
C語言程式設計
C++
C#
MongoDB
MySQL
Javascript
PHP