C++實現兩數之和 IV - 輸入為二叉搜尋樹
假設我們有一個二叉搜尋樹和一個目標值;我們需要檢查二叉搜尋樹中是否存在兩個元素,它們的和等於給定的目標值。
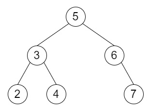
因此,如果輸入如下所示:

則輸出為True。
為了解決這個問題,我們將遵循以下步驟:
定義一個數組v
定義一個函式inorder(),它將接收根節點作為引數:
如果根節點為空,則:
返回
inorder(根節點的左子樹)
將根節點的值插入到v中
inorder(根節點的左子樹)
inorder(根節點的右子樹)
定義一個函式findnode(),它將接收k作為引數:
n := v的大小
當 i < j 時,執行以下操作:
t := v[i] + v[j]
如果t等於k,則:
返回true
如果t < k,則:
(將i增加1)
否則
(將j減少1)
返回false
在主方法中執行以下操作:
inorder(root)
對陣列v進行排序
返回findnode(k)
示例
#include <bits/stdc++.h>
using namespace std;
class TreeNode{
public:
int val;
TreeNode *left, *right;
TreeNode(int data){
val = data;
left = NULL;
right = NULL;
}
};
void insert(TreeNode **root, int val){
queue<TreeNode*> q;
q.push(*root);
while(q.size()){
TreeNode *temp = q.front();
q.pop();
if(!temp->left){
if(val != NULL)
temp->left = new TreeNode(val);
else
temp->left = new TreeNode(0);
return;
}
else{
q.push(temp->left);
}
if(!temp->right){
if(val != NULL)
temp->right = new TreeNode(val);
else
temp->right = new TreeNode(0);
return;
}
else{
q.push(temp->right);
}
}
}
TreeNode *make_tree(vector<int> v){
TreeNode *root = new TreeNode(v[0]);
for(int i = 1; i<v.size(); i++){
insert(&root, v[i]);
}
return root;
}
class Solution {
public:
vector<int> v;
void inorder(TreeNode* root){
if (root == NULL || root->val == 0)
return;
inorder(root->left);
v.push_back(root->val);
inorder(root->right);
}
bool findnode(int k){
int n = v.size(), i = 0, j = n - 1;
while (i < j) {
int t = v[i] + v[j];
if (t == k)
return true;
if (t < k)
i++;
else
j--;
}
return false;
}
bool findTarget(TreeNode* root, int k){
inorder(root);
sort(v.begin(), v.end());
return findnode(k);
}
};
main(){
Solution ob;
vector<int> v = {5,3,6,2,4,NULL,7};
TreeNode *root = make_tree(v);
cout << (ob.findTarget(root, 9));
}線上演示
{5,3,6,2,4,NULL,7},9輸入
1
列印頁面
資料結構
網路
關係資料庫管理系統 (RDBMS)
作業系統
Java
iOS
HTML
CSS
Android
Python
C語言程式設計
C++
C#
MongoDB
MySQL
Javascript
PHP