C++ 中的二叉搜尋樹節點刪除
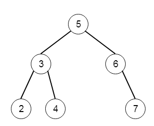
假設我們有一個二叉搜尋樹。我們將取一個鍵 k,並且我們必須從 BST 中刪除給定的鍵 k,並返回更新後的 BST。因此,如果樹類似於:

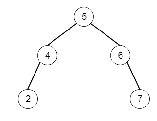
並且鍵 k = 3,則輸出樹將為:

為了解決這個問題,我們將遵循以下步驟:
定義一個名為 deleteRoot() 的方法來刪除根節點,這將按如下方式工作
如果根節點為空,則返回 null
如果根節點沒有右子樹,則返回根節點的左子樹
x := 根節點的中序後繼
將 x 的左子樹設定為 left := 根節點的左子樹
返回根節點的右子樹
delete 方法將如下所示
如果根節點為空或根節點的值為鍵,則返回 deleteRoot(root)
curr := 根節點
建立一個無限迴圈,並執行以下操作
x := curr 節點的值
如果 key < x,則
如果 curr 的左子樹為空或 curr 的左子樹的值為 key,則
curr 的左子樹 := deleteRoot(curr 的左子樹) 並退出迴圈。
curr := curr 的左子樹
否則
如果 curr 的右子樹為空或 curr 的右子樹的值為 key,則
curr 的右子樹 := deleteRoot(curr 的右子樹) 並退出迴圈。
curr := curr 的右子樹
返回根節點
讓我們看看以下實現以獲得更好的理解:
示例
#include <bits/stdc++.h>
using namespace std;
class TreeNode{
public:
int val;
TreeNode *left, *right;
TreeNode(int data){
val = data;
left = NULL;
right = NULL;
}
};
void insert(TreeNode **root, int val){
queue<TreeNode*> q;
q.push(*root);
while(q.size()){
TreeNode *temp = q.front();
q.pop();
if(!temp->left){
if(val != NULL)
temp->left = new TreeNode(val);
else
temp->left = new TreeNode(0);
return;
} else {
q.push(temp->left);
}
if(!temp->right){
if(val != NULL)
temp->right = new TreeNode(val);
else
temp->right = new TreeNode(0);
return;
} else {
q.push(temp->right);
}
}
}
TreeNode *make_tree(vector<int> v){
TreeNode *root = new TreeNode(v[0]);
for(int i = 1; i<v.size(); i++){
insert(&root, v[i]);
}
return root;
}
void tree_level_trav(TreeNode*root){
if (root == NULL) return;
cout << "[";
queue<TreeNode *> q;
TreeNode *curr;
q.push(root);
q.push(NULL);
while (q.size() > 1) {
curr = q.front();
q.pop();
if (curr == NULL){
q.push(NULL);
}
else {
if(curr->left)
q.push(curr->left);
if(curr->right)
q.push(curr->right);
if(curr == NULL || curr->val == 0){
cout << "null" << ", ";
} else {
cout << curr->val << ", ";
}
}
}
cout << "]"<<endl;
}
class Solution {
public:
TreeNode* deleteNode(TreeNode* root, int key) {
if(root == NULL || root->val == key) return deleteRoot(root);
TreeNode* curr = root;
while(1) {
int x = curr->val;
if(key < x){
if(curr->left == NULL || curr->left->val == key){
curr->left = deleteRoot(curr->left);
break;
}
curr = curr->left;
} else {
if(curr->right == NULL || curr->right->val == key){
curr->right = deleteRoot(curr->right);
break;
}
curr = curr->right;
}
}
return root;
}
TreeNode* deleteRoot(TreeNode* root){
if(!root || root->val == 0)return NULL;
if(root->right == NULL) return root->left;
TreeNode* x = root->right;
while(x->left)x = x->left;
x->left = root->left;
return root->right;
}
};
main(){
vector<int> v = {5,3,6,2,4,NULL,7};
TreeNode *root = make_tree(v);
Solution ob;
tree_level_trav(ob.deleteNode(root, 3));
}輸入
[5,3,6,2,4,null,7] 3
輸出
[5, 4, 6, 2, null, 7, ]
廣告
資料結構
網路
關係資料庫管理系統
作業系統
Java
iOS
HTML
CSS
Android
Python
C 程式設計
C++
C#
MongoDB
MySQL
Javascript
PHP