C++ 中的兩個和 BST
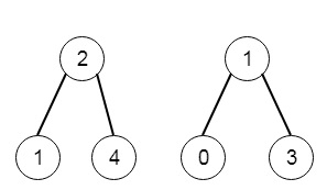
假設我們有兩個二叉搜尋樹,我們必須返回 True 當且僅當第一棵樹中有一個節點,第二棵樹中有一個節點,並且這些節點的和等於給定的整數目標。所以如果樹是這樣的 -

並且目標是 5,則結果為真。
為了解決這個問題,我們將遵循以下步驟 -
- 定義一個對映 s
- 定義一個名為 check() 的方法,它將接收節點、目標和節點編號,它將按如下方式工作 -
- 如果節點有效,則返回 false
- curr := 節點的值,req := target – curr
- 如果 req 出現在 s 中並且 s[req] 不等於 nodeNumber,則返回 true
- s[curr] := nodeNumber
- 返回 check(節點的左子節點, 目標, 節點編號) 或 check(節點的右子節點, 目標, 節點編號)
- 在主方法中,我們將設定 -
- flag := check(root1, target, 1)
- 返回 check(root2, target, 2)
示例(C++)
讓我們看看以下實現以更好地理解 -
#include <bits/stdc++.h>
using namespace std;
class TreeNode{
public:
int val;
TreeNode *left, *right;
TreeNode(int data){
val = data;
left = NULL;
right = NULL;
}
};
void insert(TreeNode **root, int val){
queue<TreeNode*> q;
q.push(*root);
while(q.size()){
TreeNode *temp = q.front();
q.pop();
if(!temp->left){
if(val != NULL)
temp->left = new TreeNode(val);
else
temp->left = new TreeNode(0);
return;
}
else{
q.push(temp->left);
}
if(!temp->right){
if(val != NULL)
temp->right = new TreeNode(val);
else
temp->right = new TreeNode(0);
return;
}
else{
q.push(temp->right);
}
}
}
TreeNode *make_tree(vector<int> v){
TreeNode *root = new TreeNode(v[0]);
for(int i = 1; i<v.size(); i++){
insert(&root, v[i]);
}
return root;
}
class Solution {
public:
map <int,int> s;
bool check(TreeNode* node, int target,int nodeNumber){
if(!node)return false;
int curr = node->val;
int req = target - curr;
if(s.find(req)!=s.end() && s[req]!=nodeNumber)return true;
s[curr]=nodeNumber;
return check(node->left,target,nodeNumber) || check(node->right,target,nodeNumber);
}
bool twoSumBSTs(TreeNode* root1, TreeNode* root2, int target) {
bool flag = check(root1,target,1);
return check(root2,target,2);
}
};
main(){
vector<int> v1 = {2,1,4};
vector<int> v2 = {1,0,3};
TreeNode *r1 = make_tree(v1);
TreeNode *r2 = make_tree(v2);
Solution ob;
cout <<ob.twoSumBSTs(r1, r2, 5);
}輸入
[2,1,4] [1,0,3] 5
輸出
1
廣告
資料結構
網路
關係資料庫管理系統
作業系統
Java
iOS
HTML
CSS
Android
Python
C 程式設計
C++
C#
MongoDB
MySQL
Javascript
PHP