Python 中查詢 DAG 中最長路徑(無重複節點)的程式
假設我們有一個由鄰接表表示的有向無環圖。我們需要找到圖中最長的路徑,且路徑中沒有重複的節點。
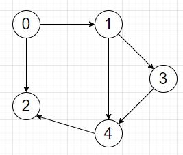
因此,如果輸入類似於

則輸出將是 4,因為路徑為 0 -> 1 -> 3 -> 4 -> 2,長度為 4。
為了解決這個問題,我們將遵循以下步驟:
- ans := 0
- n := 圖的節點數
- table := 一個大小為 n 的列表,並填充 -1
- 定義一個函式 dfs()。它將接收 u
- 如果 table[u] 不為 -1,則
- 返回 table[u]
- p_len := 0
- 對於圖[u] 中的每個頂點 v,執行以下操作:
- p_len := p_len 和 (1 + dfs(v)) 中的最大值
- table[u] := p_len
- 返回 p_len
- 在主方法中執行以下操作:
- 對於範圍從 0 到 n 的 i,執行以下操作:
- ans := ans 和 dfs(i) 中的最大值
- 返回 ans
示例(Python)
讓我們看看以下實現,以便更好地理解:
class Solution: def solve(self, graph): ans = 0 n = len(graph) table = [-1] * n def dfs(u): if table[u] != -1: return table[u] p_len = 0 for v in graph[u]: p_len = max(p_len, 1 + dfs(v)) table[u] = p_len return p_len for i in range(n): ans = max(ans, dfs(i)) return ans ob = Solution() graph = [ [1, 2], [3, 4], [], [4], [2], ] print(ob.solve(graph))
輸入
graph = [[1, 2],[3, 4],[],[4],[2]]
輸出
4
廣告
資料結構
網路
關係資料庫管理系統
作業系統
Java
iOS
HTML
CSS
Android
Python
C 語言程式設計
C++
C#
MongoDB
MySQL
Javascript
PHP