C++ 中將二叉搜尋樹轉換為單向連結串列的程式?
假設我們有一個二叉樹;我們必須將其轉換為單向連結串列(就地)。
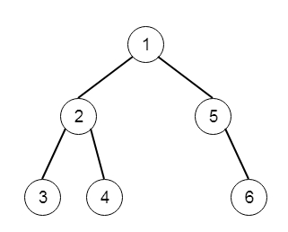
因此,如果輸入類似於

那麼輸出將是

為了解決這個問題,我們將遵循以下步驟
ser prev := null
定義一個遞迴函式 solve(),它將把根作為輸入。
如果根為 null,則返回
求解(根的右側)
求解(根的左側)
根的右側 := prev,根的左側 := null
prev := root
讓我們看一下以下實現來獲得更好的理解
示例
#include <bits/stdc++.h>
using namespace std;
class TreeNode{
public:
int val;
TreeNode *left, *right;
TreeNode(int data){
val = data;
left = NULL;
right = NULL;
}
};
void insert(TreeNode **root, int val){
queue<TreeNode*> q;
q.push(*root);
while(q.size()){
TreeNode *temp = q.front();
q.pop();
if(!temp->left){
if(val != NULL)
temp->left = new TreeNode(val);
else
temp->left = new TreeNode(0);
return;
}else{
q.push(temp->left);
}
if(!temp->right){
if(val != NULL)
temp->right = new TreeNode(val);
else
temp->right = new TreeNode(0);
return;
}else{
q.push(temp->right);
}
}
}
TreeNode *make_tree(vector<int> v){
TreeNode *root = new TreeNode(v[0]);
for(int i = 1; i<v.size(); i++){
insert(&root, v[i]);
}
return root;
}
class Solution {
public:
TreeNode* prev = NULL;
void flatten(TreeNode* root) {
if(!root) return;
flatten(root->right);
flatten(root->left);
root->right = prev;
root->left = NULL;
prev = root;
}
};
main(){
vector<int> v = {1,2,5,3,4};
TreeNode *root = make_tree(v);
Solution ob;
(ob.flatten(root));
TreeNode *ptr = root;
while(ptr != NULL && ptr->val != 0){
cout << ptr->val << ", ";
ptr = ptr->right;
}
}輸入
{1,2,5,3,4}輸出
1, 2, 3, 4, 5,
廣告
資料結構
網路
RDBMS
作業系統
Java
iOS
HTML
CSS
Android
Python
C 程式設計
C++
C#
MongoDB
MySQL
Javascript
PHP